立即注册找回密码

QQ登录

只需一步,快速开始

微信登录

微信扫一扫,快速登录

搜索

前列腺癌的快速尿检,可降低51%的不必要活检率?

2025-12-22 10:59| 编辑: 沙糖桔| 查看: 1014| 评论: 0|来源: 小桔灯网|作者:动力彩虹

摘要: 本研究开发了一种结合uPSA与uZinc的快速、非侵入性尿液检测方法,评估其单独及联合现行标准诊疗(SOC)参数在前列腺癌诊断中的价值


前言

前列腺癌(PCa)是全球男性第二大常见癌症,其早期发现通常可以通过手术或放射治疗等根治性手段进行有效治疗。晚期病例则更难治疗,并且会带来更多的副作用。其早期筛查工具的优化仍是临床重要课题。当前广泛应用的血清前列腺特异性抗原(PSA)和直肠指检(DRE)检测虽降低了疾病死亡率,但因其特异性不足常常导至惰性癌症的过度诊断和不必要的治疗,从而导至更高的医疗成本,但并未明显改善生存率。


近日,意大利都灵大学在杂志Prostate Cancer and Prostatic Diseases上发表了一篇题为“A rapid urinary test for combining PSA and zinc to enhance prostate cancer diagnosis: results from a prospective study”的文章。本研究旨在开发一种结合尿前列腺特异性抗原(uPSA)与尿锌(uZinc)的快速、非侵入性尿液检测方法,评估其单独及联合现行标准诊疗(SOC)参数,包括年龄、血清PSA、直肠指检及多参数磁共振成像,在前列腺癌诊断中的价值,并探索其在减少不必要活检方面的潜力。整合尿液检测的决策算法表明,51% 的男性可以安全地避免活检。这种尿液 uPSA/uZinc检测是一个很有前景的补充手段,将其与多参数磁共振成像(mpMRI)和标准临床参数相结合,能够优化风险评估,并实现患者的个性化管理。

图片来源:Prostate Cancer and Prostatic Diseases


主要内容



使用uPSA与uZinc进行前列腺癌风险分层的原理


近年来已开发出多种血液和尿液生物标志物以改进前列腺癌风险分层,尿液生物标志物在样本采集方面的潜在优势(前列腺与尿道直接相连),尤其受到重视。其中一种是尿锌(uZinc)。前列腺通常会积累锌以储存用于精子功能所需的柠檬酸。癌症会干扰锌的吸收,降低组织和尿液中的锌水平,PSA 也是如此。最近的研究结合使用 uZinc 和 uPSA 发现,这两种标志物在前列腺癌患者中的水平均有所降低,并且与格里森评分和 PIRADS 评分存在相关性。


用uPSA与uZinc进行前列腺癌风险分层。图片来源:Prostate Cancer and Prostatic Diseases


健康人与前列腺癌患者的uPSA和uZinc浓度


本研究为前瞻性队列研究,共242名患者纳入研究。‌采用竞争性侧向流动免疫分析法进行‌uPSA检测,阈值为2.800 ng/mL;使用双硫腙显色试纸法进行‌uZinc检测,阈值为1.400 ng/mL。结果显示,‌uPSA信号强度越高(对应于 uPSA 浓度越低),则临床分期越严重、D’Amico 风险分类越高,以及 ISUP 评分也越高。uPSA 水平与前列腺癌严重程度之间存在明显的反比关系。同样,uZinc 水平也呈现出类似的模式(如下图)。


健康人与前列腺癌患者的uPSA和uZinc浓度。图片来源:Prostate Cancer and Prostatic Diseases



快速尿检诊断的性能分析


作者构建了逻辑回归模型来评估快速尿液检测在鉴别前列腺癌方面的诊断性能,包括一个基于 sPSA、年龄和 DRE 的 SOC 模型、分别基于 uPSA 和 uZinc 的模型、联合uPSA 和 uZinc的尿液检测以及一个整合了 SOC 和尿液生物标志物的完整模型(SOC + 尿液检测)。分析表明,所有变量均与癌症风险呈正相关。DRE的odds ratio (OR)为 1.63,血清PSA为 1.03,年龄为 1.04。uPSA的OR为 2.19,uZinc为 1.41。ROC 曲线分析显示,基于尿液生物标志物的模型 AUC 为0.769 ,SOC + 尿液检测将 AUC 提高到了 0.789(下图 a)。在接受磁共振成像(mpMRI)检查的患者亚组中,尿液检测+mpMRI组合的AUC为0.868,而SOC+mpMRI+尿液检测模型进一步增至0.875(下图b)。


快速尿检诊断性能的受试者工作特征曲线分析。图片来源:Prostate Cancer and Prostatic Diseases


‌临床实用性


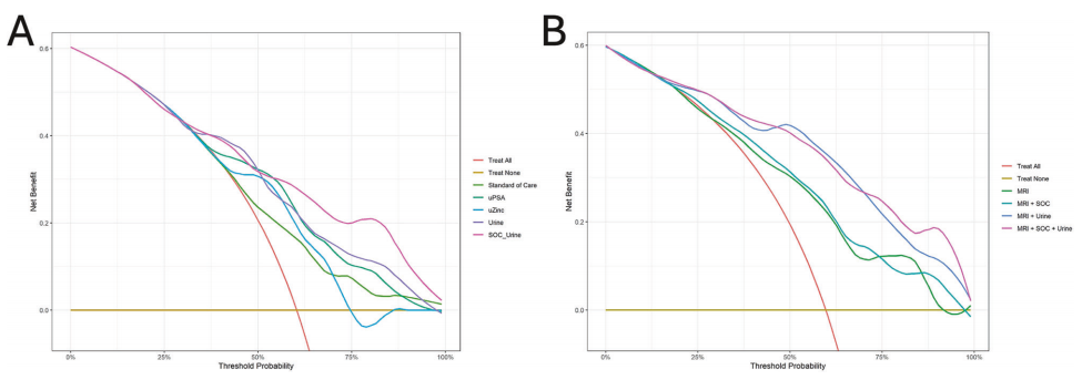
为了评估这些预测模型的临床应用价值,作者针对不同的阈值概率进行了决策曲线分析(DCA)。分析显示,SOC+尿液检测模型在广泛的阈值概率范围内具有最高净收益(下图 A)。针对接受了mpMRI检查的患者,综合模型(MRI 加上 SOC 加上尿液检测)表现最佳,在所有阈值下始终显示出最高的净效益,这凸显了结合影像学、临床和分子数据的价值(图 B)。在符合算法条件的患者中,51%的阴性尿液检测结果者可避免活检,仅遗漏14%的低级别前列腺癌(ISUP<2),且未遗漏高级别肿瘤。


决策曲线分析比较多个预测模型的净临床效益。图片来源:Prostate Cancer and Prostatic Diseases



总结与讨论

本研究开发了一种结合uPSA与uZinc的快速、非侵入性尿液检测方法,评估其单独及联合现行标准诊疗(SOC)参数在前列腺癌诊断中的价值。结果显示,尿液检测的AUC为 0.769,与SOC联合使用时,性能提升至 0.789。将尿液标志物与mpMRI结合,分别获得了 0.868(mpMRI + 尿液检测)和 0.875(mpMRI + SOC + 尿液检测)的 AUC 。整合尿液检测的决策算法表明,51% 的男性可以安全地避免活检,在这一组中仅有低级别前列腺癌(ISUP < 2)的检出率为 14%。这种尿液 uPSA/uZinc检测是一个很有前景的补充手段,能够提高检测的准确性,同时减少不必要的活检。将其与多参数磁共振成像(mpMRI)和标准临床参数相结合,能够优化风险评估,并实现患者的个性化管理。

但此研究也存在一定的局限性,比如部分患者未接受mpMRI、活检预选偏倚等局限。未来需开展多中心研究验证其泛化能力,并探索与人工智能模型整合的可行性,以进一步提高诊断流程的智能化水平。



声明:
1、凡本网注明“来源:小桔灯网”的所有作品,均为本网合法拥有版权或有权使用的作品,转载需联系授权。
2、凡本网注明“来源:XXX(非小桔灯网)”的作品,均转载自其它媒体,转载目的在于传递更多信息,并不代表本网赞同其观点和对其真实性负责。其版权归原作者所有,如有侵权请联系删除。
3、所有再转载者需自行获得原作者授权并注明来源。

最新评论

关闭

官方推荐 上一条 /3 下一条

客服中心 搜索 洽谈合作
返回顶部