阿尔茨海默症相关自身抗体用于诊断?
2023-7-24 13:25|
编辑: mango524|
查看: 1974|
评论: 0|来源: 体外诊断市场部
摘要: 诊断公司 Durin Technologies 正致力于将8种自身抗体组成的血液检测套餐,用于早期检测阿尔茨海默病的血液检测商业化
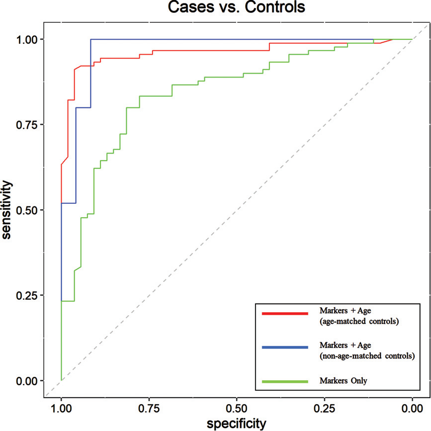
| 诊断公司 Durin Technologies 正致力于将8种自身抗体组成的血液检测套餐,用于早期检测阿尔茨海默病的血液检测商业化。负责人贝林卡说,尽管Durin已经营业十多年,但它仍然是一家小型企业,大约有五名员工。他表示,该公司在 2019 年筹集了 350 万美元的资金,迄今为止大部分资金都是由单一家族办公室提供的。他表示,Durin 计划额外筹集 1000 万至 1300 万美元,用于资助通过 FDA 进行该测试或将其作为 LDT 推出的过程。通过检测一下自身抗体,建立预测模型,预测AD疾病准确率为81.0%,曲线下面积(AUC)为0.84(95%CI=0.78–0.91)。将年龄作为模型的参数提高了AUC(0.96;95%CI=0.93–0.99)和总体准确性(93.0%)。  总体看曲线下面积还是比较大。标志物做到的(机翻)  5人的小公司果然就是要专攻偏门,发现的这几种自身抗体,也不是常见的自免疾病抗体和AD症标志物抗体。具体效果还需要观察。找到一篇综述文章分析了现有AD自身抗体及潜在的作用: Aβ沉积是AD致病原因之一,所以很好理解Aβ自身抗体,可以结合致病的Aβ,从而起到保护作用。但机体产生的少量Aβ自身抗体无法阻止AD症的发展。检测时要关注游离和结合的Aβ自身抗体,最终发现Aβ自身抗体轻度至中度阶段上升,然后在中度至重度期下降。Tau蛋白自身抗体原理上能够阻止神经原纤维缠结,对AD症患者有保护作用。在AD症患者组中含量高于对照组,但Tau蛋白自身抗体并不能在患者中普遍检出,其作用也需要进一步研究。其他表中的自身抗体在biomarker一栏,标注possible表示可能作为标志物进行应用。就像一把双刃剑一样,自身抗体可以发挥有害和保护作用。在病理条件下,自身抗体干扰细胞功能,引发严重的炎症反应,导至脑组织损伤和自身免疫性疾病。在生理条件下,自身抗体赋予免疫耐受性,减轻炎症反应,并促进有毒蛋白的清除。这些自身抗体的有益作用为开发抗Aβ和抗tau蛋白免疫疗法提供了基础。然而,许多自身抗体的确切作用目前尚不清楚。一些自身抗体与疾病的状态特异性相关,因此可以作为阿尔茨海默病的诊断/预后生物标志物。综合看来自身抗体作为AD诊断标志物,仍需要更多研究。相反在治疗中的作用可能更加明确。 |
声明:
1、凡本网注明“来源:小桔灯网”的所有作品,均为本网合法拥有版权或有权使用的作品,转载需联系授权。
2、凡本网注明“来源:XXX(非小桔灯网)”的作品,均转载自其它媒体,转载目的在于传递更多信息,并不代表本网赞同其观点和对其真实性负责。其版权归原作者所有,如有侵权请联系删除。
3、所有再转载者需自行获得原作者授权并注明来源。