立即注册找回密码

QQ登录

只需一步,快速开始

微信登录

微信扫一扫,快速登录

搜索

Nature高分子刊!数字CRISPR技术可同时进行耳念珠菌及耐药突变检测诊断

2026-2-2 11:07| 编辑: 沙糖桔| 查看: 1185| 评论: 0|来源: 小桔灯网|作者:动力彩虹

摘要: 作者开发了数字 SHERLOCK(dSHERLOCK)平台,该平台结合了 CRISPR/Cas 核酸检测、单模板定量和实时动力学监测。


前言

耳念珠菌(C. auris)是一种具有多重耐药性的新兴真菌病原体,能够在医疗环境中持续存活并导至高死亡率的院内暴发。在美国,高达90%的耳念珠菌分离株对唑类抗真菌药(如氟康唑)耐药,而首选治疗药物棘白菌素类药物的耐药性也在上升。因此,及时、准确地进行病原体鉴定和药物敏感性测试对于控制疫情和指导患者治疗决策至关重要。当前用于检测耳念珠菌及其药物敏感性的诊断方法包括MALDI-TOF质谱、定量 PCR(qPCR)或基于培养的方法,但这些方法通常存在诸多局限,它们依赖集中式实验室,流程复杂、耗时(可能需要数天)、成本高昂,并且需要专业的操作人员和昂贵设备。因此,迫切需要开发一种能够对真菌载量和耐药性进行准确快速定量评估的新型诊断方法。


近日,来自哈佛和麻省理工等顶级院校的研究团队在杂志nature biomedical engineering上发表了一篇题为“Digital CRISPR-based diagnostics for quantification of Candida auris and  resistance mutations”的文章。作者开发了一种数字 CRISPR 诊断检测平台(dSHERLOCK),用于定量检测耳念珠菌的真菌载量。dSHERLOCK 具有良好的敏感性和特异性,能在 20 分钟内从拭子样本中检测出耳念珠菌,并在 40 分钟内实现灵敏定量。为了检测棘白菌素耐药性,作者还基于 FKS1 基因中的致病性单核苷酸多态性(FKS1 S639F)设计了一种针对的 dSHERLOCK 检测方法,可精确定量每种等位基因的比例。


图片来源:nature biomedical engineering







主要内容



1

对耳念珠菌的灵敏且特异的CRISPR检测 

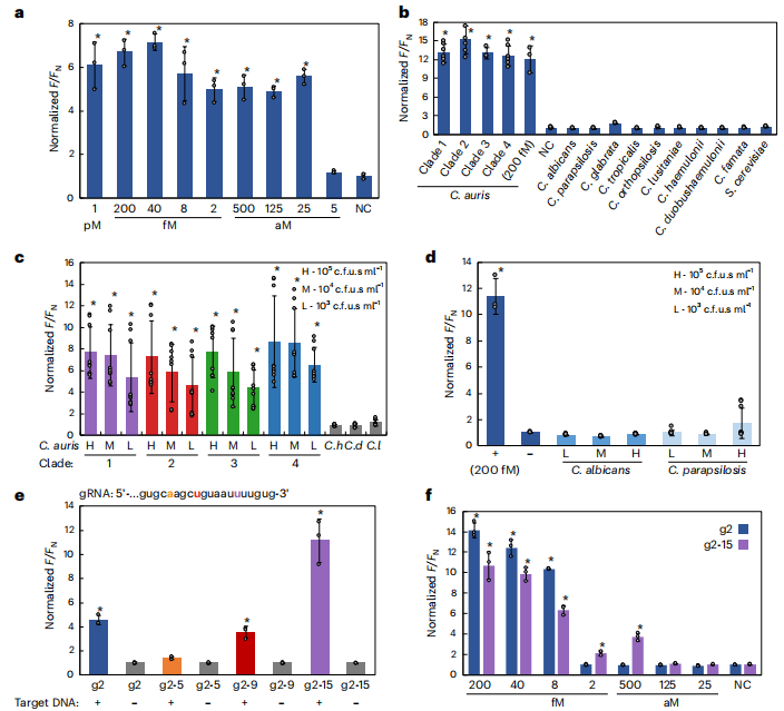
作者设计并优化了一套针对耳念珠菌内转录间隔区(ITS2)的 dSHERLOCK 检测体系,以实现对该病原体的特异性和高灵敏度检测。作者首先对 RPA 引物和 gRNA 进行了优化,并最终通过进行 RPA 扩增和 CRISPR 检测的两步流程,成功检测到了≥25 aM 的合成 DNA 靶标(图a)。特异性测试结果显示,该检测方法成功检测到了所有 C. auris 不同地理分支,同时对其他假丝酵母和密切相关的酵母的信号极低(图b),表现出该检测方法对 C. auris 的高特异性。临床相关模拟拭子样本也同样证实了两步检测方法的敏感性和特异性(图c和d)。


作者还尝试将扩增和 Cas12a 检测整合到一步式流程中来简化实验流程。对gRNA的优化结果显示,在PAM远端区域引入错配的gRNA可在一步检测中显著提高了信号强度。精确匹配的gRNA进行一步检测法的检测限(约为8 fM)比两步流程差320 倍,而错配的gRNA进行一步检测法可将LOD降低至500 aM(图e和f)。


SHERLOCK能够特异、灵敏地检测耳念珠菌。图片来源:nature biomedical engineering


2

实时dSHERLOCK可实现绝对定量  

作者开发了数字 SHERLOCK(dSHERLOCK)的SHERLOCK 检测法,在样本足够稀释的情况下,每个微室要么含有靶标分子(阳性),要么不含有(阴性)。在含有靶标 DNA 分子的微室内,RPA会迅速生成多个靶标扩增子拷贝。Cas12a 蛋白在gRNA的引导下,通过杂交识别并特异性切割与之互补的扩增靶标 DNA(顺式切割),并激活 Cas12a 酶的非特异性反式切割活性,产生荧光信号。通过显微镜实时追踪每个微室的荧光信号随时间的变化,可以生成反应动力学曲线。通过设定荧光阈值,可以将微室区分为“阳性”或“阴性”,并可精确反推出初始样本中的靶标分子浓度,实现“数字化”绝对定量。


结果显示,在 37°C 启动反应后 20 分钟内,含有被 Cas 识别的目标 DNA 分子的微室中就观察到了荧光信号(图b)。作者还使用模拟拭子测试了dSHERLOCK 的性能。结果显示,dSHERLOCK测量的浓度与预检测菌落形成单位(cfu)完全一致(图f),与数字液滴PCR (ddPCR)结果也有较高的一致性(图g)。


实时 dSHERLOCK 可实现绝对定量。图片来源:nature biomedical engineering


3

临床样本的验证‌

在一项包含30份来自患者的真实临床残留鼻、腋窝、腹股沟复合监测拭子的盲测中表现优异。通过与MALDI-TOF质谱和金标准 qPCR 的对比,dSHERLOCK准确识别了14/15份阳性样本和15/15份阴性样本,总体准确率达96.7%。


为了评估dSHERLOCK的临床适用性,作者用鼻-腋-腹股沟拭子真实样本对该平台进行了测试。样本经过加热灭活处理,但省略了裂解步骤。结果显示,dSHERLOCK 准确识别了 14/15 个阳性样本和 15/15 个阴性样本,准确率为96.7%(图h),AUC为0.95(图i)。


dSHERLOCK的临床验证。图片来源:nature biomedical engineering


4

用dSHERLOCK方法对棘白菌素耐药性进行定量检测

  作者基于 FKS1 基因中的致病性单核苷酸多态性(FKS1 S639F)设计了一种针对棘白菌素耐药性的 dSHERLOCK 检测方法。当使用对突变体和野生型模板存在不同错配程度的gRNA时,虽然数字化计数(即阳性微室比例)一致,但它们在反应室中的荧光增长曲线(即反应动力学)存在显著差异。带有抗性突变(FKS1 S639F)的模板,其反应比野生型模板的动力学更快,在更短的时间内达到荧光阈值。对每个阳性微室的荧光-时间曲线提取了多个特征,如最大荧光强度、最大速度、达到最大速度的时间、曲线下面积等,并使用机器学习模型,可准确地将每个阳性微室分类为含有“突变型”或“野生型”等位基因。结果显示,dSHERLOCK 可在单次2小时的测量中,精确定量混合物中每种等位基因的比例。即使当混合物中耐药突变体的比例低至10%,平台也能准确测定其丰度(图L)。


使用dSHERLOCK方法对棘白菌素耐药性进行定量检测。图片来源:nature biomedical engineering




总结与讨论

作者开发了数字 SHERLOCK(dSHERLOCK)平台,该平台结合了 CRISPR/Cas 核酸检测、单模板定量和实时动力学监测。dSHERLOCK 具有良好的敏感性和特异性,能在20分钟内从拭子样本中检测出耳念珠菌,并在 40 分钟内实现灵敏定量。为了检测棘白菌素耐药性,作者基于 FKS1 基因中的致病性单核苷酸多态性(FKS1 S639F)设计了一种针对的 dSHERLOCK 检测方法,可精确定量每种等位基因的比例。


对反应条件的进一步优化,例如液滴大小、酶的选择和缓冲液的组成,可以进一步提高检测性能,从而实现无需核酸扩增的直接单分子检测。基于本文所述的定量分析和多重检测能力,将会产生新的应用。比如,dSHERLOCK 可用于病毒耐药性的定量检测,以定量测定病毒载量以及耐药突变的状态,或者进行病毒和细菌监测,以便及早发现疫情爆发。

声明:
1、凡本网注明“来源:小桔灯网”的所有作品,均为本网合法拥有版权或有权使用的作品,转载需联系授权。
2、凡本网注明“来源:XXX(非小桔灯网)”的作品,均转载自其它媒体,转载目的在于传递更多信息,并不代表本网赞同其观点和对其真实性负责。其版权归原作者所有,如有侵权请联系删除。
3、所有再转载者需自行获得原作者授权并注明来源。

最新评论

关闭

官方推荐 上一条 /3 下一条

客服中心 搜索 洽谈合作
返回顶部