简易血液四基因标志物,可降低不必要的抗生素使用
2025-12-15 10:30|
编辑: 沙糖桔|
查看: 982|
评论: 0|来源: 小桔灯网|作者:动力彩虹
摘要: 本研究的优势在于样本量大,并系统纳入了混合感染队列,更贴近真实世界临床场景。通过优化阈值实现≥90%敏感性与>90%阴性预测值,满足了临床核心需求。 ...
急性呼吸道感染是全球范围内发病率和死亡率居高不下的主要疾病之一,同时也是抗生素滥用的重要诱因。尽管多数急性呼吸道感染实际由病毒引起,但由于在临床实践中难以快速明确病原体类型,导至大量不必要的抗生素使用。这一问题加剧了抗生素耐药性的问题,被世界卫生组织列为全球公共卫生的最紧迫威胁之一。现有诊断手段如PCR虽能快速检测呼吸道病毒,但对细菌共感染的鉴别能力有限。因此,开发可以区分病毒性感染和需要抗生素治疗的细菌性感染以及混合感染的检测工具,可以成为解决这一临床困境的关键方向。 近日,美国罗切斯特大学在杂志Nature communications上发表了一篇题为“A four-gene signature from blood to exclude bacterial etiology of lower respiratory tract infection in adults”的文章。作者筛选出一个包含4个基因ITGB4、ITGA7、IFI27 和 FAM20A的标志物组合,能够准确区分因急性呼吸道感染而住院的成人患者中的细菌性病症与非细菌性病症。该模型在训练集中的交叉验证曲线下面积达到0.90,显示出卓越的细菌与非细菌感染的区分能力。这种方法提供了一种辅助临床判断的工具,有助于减少不必要的抗生素使用。 图片来源:Nature communications 本研究纳入了504例经微生物学确认的急性呼吸道感染患者(包括280例病毒感染、129例细菌感染及95例混合感染),以及63例非感染性疾病患者作为对照组。通过差异基因表达分析,研究团队比较了单纯病毒感染组与任何细菌感染组(包括单纯细菌感染和混合感染)的转录组数据,识别出显著差异表达的基因,并最终筛选出一个包含4个基因的标志物组合:ITGB4、ITGA7、IFI27 和 FAM20A。该模型在训练集中的交叉验证曲线下面积达到0.90 (下图 A),显示出优异的细菌与非细菌感染的区分能力。
诊断基因标志物的性能。图片来源:Nature communications 研究显示,ITGA7、ITGB4和FAM20A在细菌感染患者中表达上调(如下图),而干扰素相关基因IFI27在非细菌感染组中显著高表达。ITGA7和ITGB4的表达水平在单纯细菌感染与混合感染组间无显著差异,而IFI27和FAM20A则在三类诊断组(单纯细菌、混合感染、单纯病毒)中呈现明显不同的表达模式。 4种基因标志物的表达模式。图片来源:Nature communications 作者对四基因标志物在五个独立成人RNA测序数据集中进行了验证。其中,在罗切斯特地区队列的验证AUC为0.94;在全球发热性疾病队列(包含各种传染性疾病)中保持了0.90的AUC;在另外3个成人数据集的AUC值也达到0.89 、0.98和0.89。这些结果都说明了此 四基因诊断特征在外部验证集中也有良好的诊断性能。作者还使用不同的测序平台----微阵列数据集进行了验证,结果显示AUC范围为0.73至0.90。此外,四基因标志物在儿科肺炎队列中的验证AUC为0.74,提示成人特异性基因标志物可能不完全适用于儿童群体。
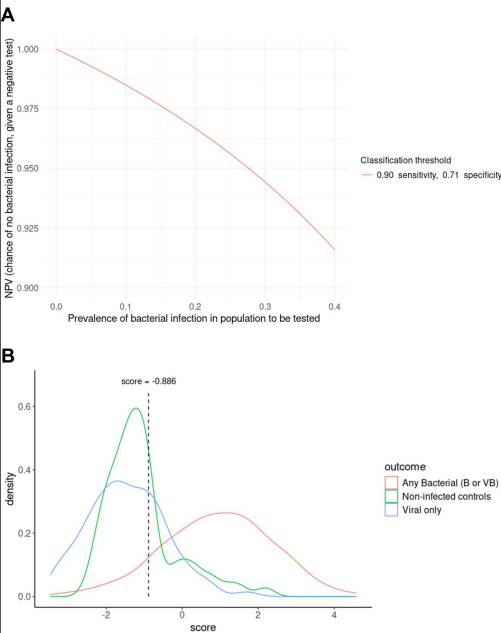
4 个基因诊断特征的多队列外部验证。图片来源:Nature communications 四基因特征代表了患者的细菌感染风险评分或感染细菌的概率值。风险评分越高,患者感染细菌的可能性就越大。作者设定风险评分阈值为-0.886,如果患者风险评分超过-0.886,则患者细菌感染概率> 29%,可被分类为细菌感染。模型在训练集中实现90%的敏感性与71%的特异性。当细菌感染患病率为40%时,阴性预测值达91%,若患病率降至25%以下,阴性预测值可超过95%(下图 A)。这一阈值设计旨在最大程度排除细菌感染,为临床决策提供停止抗生素使用的可靠依据。
确定分类阈值以提高临床适用性。图片来源:Nature communications 本研究开发并验证了一个基于血液的四基因标志物(ITGB4、ITGA7、IFI27、FAM20A),能够以高精度区分细菌性与非细菌性呼吸道感染。该标志物在多个独立队列中表现出稳定的诊断性能,尤其在高阴性预测值方面表现突出,有望成为辅助临床决策、减少抗生素滥用的有效工具。
本研究的优势在于样本量大,并系统纳入了混合感染队列,更贴近真实世界临床场景。通过优化阈值实现≥90%敏感性与>90%阴性预测值,满足了临床核心需求。与当前商业化的检测方法相比,四基因标志物兼具简约性与高性能,为开发快速床旁检测提供理想候选方案。研究也有一定的局限性,比如对临床诊断结果的依赖性,以及分析人群与未分析人群间的临床特征差异。此外,基因表达可能同时反映感染严重程度,需进一步控制疾病严重性的混杂效应。未来应开展前瞻性干预试验,验证该工具在实际临床环境中对抗生素使用率和患者预后的影响。
|
声明:
1、凡本网注明“来源:小桔灯网”的所有作品,均为本网合法拥有版权或有权使用的作品,转载需联系授权。
2、凡本网注明“来源:XXX(非小桔灯网)”的作品,均转载自其它媒体,转载目的在于传递更多信息,并不代表本网赞同其观点和对其真实性负责。其版权归原作者所有,如有侵权请联系删除。
3、所有再转载者需自行获得原作者授权并注明来源。