立即注册找回密码

QQ登录

只需一步,快速开始

微信登录

微信扫一扫,快速登录

搜索
小桔灯网 门户 资讯中心 医械出海 查看内容

四篇Poster亮相欧洲,一篇获星级推广:该国产品牌凭何赢得国际权威认可?

2025-12-3 12:00| 编辑: 沙糖桔| 查看: 979| 评论: 0|来源: 小桔灯网

摘要: 中国IVD企业正从技术“跟跑者”,跃升为创新应用场景与未来趋势的“定义者”。

引言

2025年11月24日至26日,ELAS-Italia第三十届学术研讨会在博洛尼亚隆重举行。

国产民族品牌——仁迈生物,携手意大利合作伙伴,一举发布了四篇学术海报,覆盖全血红细胞叶酸、细胞因子、高敏肌钙蛋白与NT-proBNP,系统展示了其在全血检测与生命全周期健康管理领域的战略布局。其中,关于全过程自动红细胞叶酸检测研究获大会评为“星级文章”,并享有线上优先推广殊荣。这不仅是一项荣誉,更是一个信号:中国IVD企业正从技术“跟跑者”,跃升为创新应用场景与未来趋势的“定义者”。

仁迈此行,不仅证明其全血化学发光技术被欧洲认可,更向全球证明:中国品牌的发展,无需囿于“性价比”之争,而能凭借前瞻生态布局与硬核技术创新,主动引领行业未来趋势。

一个由中国企业参与定义的精准诊断新时代,由此开启。

左右滑动查看更多


文章解读

 红细胞叶酸篇:

降低红细胞叶酸检测的分析前影响:自动化整合方法的分析性能验证

红细胞叶酸是评估机体叶酸储存水平的关键指标,但是常规方法依赖于免疫分析仪与血液分析仪的组合,步骤繁琐、易受干扰,大大提高分析前误差的风险。而仁迈公司推出的全自动红细胞叶酸检测有了多项改进:全自动溶血预处理,避免手工操作误差;内置HCT检测模块,直接计算结果,大大提高检测效率。

本研究将仁迈的红细胞检测系统与传统的组合——双仪器流程:使用希森美康 XN-3100和罗氏 Elecsys结合,进行系统性比较,评估仁迈的新型检测系统所带来流程优化。


仁迈MCL60与罗氏Elecsys性能对标


直观地看到仁迈MCL60:

检测范围更宽——线性范围上限(930 ug/L)高于罗氏(620 ug/L);

检测速度更快——检测时间(48 分钟)明显短于传统方法(约90+27 分钟);

节约空间——单台仪器占地面积(0.38 m2)远小于传统组合系统(1.71+3.7 m2)。

仁迈的红细胞叶酸检测结果在95%的分析样本中与参考范围呈现完全临床一致性。

对仁迈红细胞叶酸检测试剂的重复性进行评估。所有样本的平均CV为1.3%。以上数据都体现仁迈全过程自动红细胞叶酸检测系统的临床一致性高,结果稳定可靠。


仁迈的红细胞叶酸检测法与罗氏Elecsys的红细胞叶酸检测结果呈现高度一致性。相关系数r=0.919, P<0.0001。同样,在红细胞压积(HCT)的对比中,仁迈的结果与希森美康的结果也显示出高度的相关性,r=0.972(P<0.0001)。上述结果充分说明,仁迈全过程自动红细胞叶酸检测系统具备优异的准确性。

研究结果表明,仁迈全过程自动红细胞叶酸检测系统可以显著提高红细胞叶酸检测效率,降低分析前处理产生的误差并有效缩短检测时间。该系统极大改善了全血样本的检测流程,使得红细胞叶酸检测能够更广泛、有效地应用。


高敏肌钙蛋白(hs-cTnT,hs-cTnI)篇:

高敏肌钙蛋白检测的分析性能验证方案:基于健康对照组的多中心研究

结果显示,hs-cTnT的总体第99百分位参考上限值(URL)为20.45 ng/L(女性16.95 ng/L,男性23.21 ng/L),hs-cTnI的总体URL为14.70 ng/L(女性11.21 ng/L,男性16.47 ng/L)。

两种肌钙蛋白的数值在男性群体(P<0.0001)及老年群体中显著升高,尤其在60岁以上组别更为明显,为人群的精准诊断提供了关键依据。

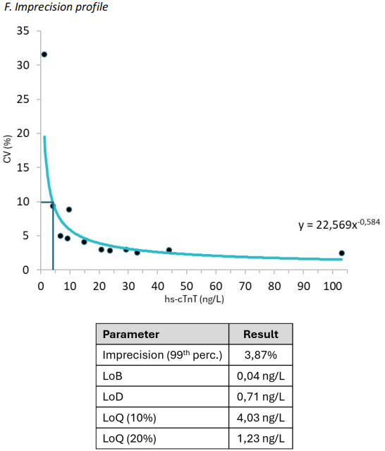
评估仁迈高敏肌钙蛋白T检测试剂盒试剂灵敏度和不精密度。曲线显示,第99百分位URL处,CV值为3.87%,符合高敏检测的要求。

在血清样本的检测中,仁迈hs-cTnT的检测结果与罗氏Elecsys高度相关(r=0.9955),表明仁迈在临床诊断中与金标准具有高度等效性。

此外,文末提到:在意大利普利亚某医院急诊科,采用仁迈全自动化学发光仪器进行全血检测,仅需14分钟即可获得结果,而中心实验室检测则耗时超过一小时。结果对比,诊断符合率超过97%,充分展现了仁迈全血检测方案优异的POCT性能与可靠性,为急性胸痛患者的快速分诊提供了强有力的工具。


NT-proBNP篇:

新型化学发光分析仪NT-proBNP检测的分析性能验证方案,一项多中心研究

进行全血样本检测,仁迈NT-proBNP检测结果与罗氏Elecsys(r=0.9886,P<0.0001)和Radiometer AQT(r=0.9932,P<0.0001)均呈高度相关性。证明仁迈的全血NT-proBNP检测试剂有卓越的灵敏度和精密度,展现出可靠的应用性能和临床可行性。


细胞因子(IL-8,IL-2R)篇:

通过化学发光法测量的IL-8和IL-2R可预测老年心血管住院患者的长期死亡率

研究使用仁迈 MCL60化学发光分析仪和细胞因子检测试剂,检测了IL-6, TNF-α, IL-8, IL-10, IL-2R这五项细胞因子。

结果提示,男性的IL-6、IL-10、IL-2R和TNF-α水平均高于女性(P<0.05)。

在生存分析中,IL-2R和IL-8浓度与长期死亡率显著相关,而IL-6和IL-10则不具独立预测性。

Cox回归模型结果显示,IL-8的风险比(HR)为1.50,95% 置信区间1.22–1.84,P=0.00012;IL-2R的HR = 1.35,95% 置信区间1.02–1.77,P=0.033。IL-8 和 IL-2R 被证明是预测长期死亡率的独立危险因素。

该研究证实,仁迈的全自动化学发光平台和全血细胞因子检测试剂,不仅能提供量化的炎症进程数据,更能直接揭示患者的长期风险分层与预后判断,有力地证明了其优异的分析性能和临床特异性。


“全血发光,就选仁迈”

如今的检测市场面临一个根本矛盾:要速度,往往难以保证精度;求精准,又常以牺牲时间为代价。

在检测效率方面,传统血检流程冗长。样本采集、运送、离心、检测,动辄耗费1小时以上,检测时间仍待压缩。在结果准确度方面,全血检测结果能否与中心实验室血清检测保持一致?这是我们全血国产民族品牌需要回答的关键问题。

市场最需要的,不是牺牲精准性换来的速度,而是兼具质量与速度的真正解决方案。

而仁迈生物交出一张令人满意的答卷。在ELAS上四篇学术海报不仅展示了数据,背后更体现出一个完整的“仁迈方案”——以全血化学发光技术为核心,时间上实现快速检测,空间上实现打通临床科室、门急诊检验、中心实验室结果互认的“最后一公里”。

从ELAS2025学术舞台回望,此次仁迈生物的突破其意义远不止于四篇海报。它成功勾勒出一条中国IVD企业走向高价值竞争的清晰路径:以全血发光为核心,覆盖危急重症、营养发育、神经科学及慢病管理等关键领域。仁迈通过构建“全血、全自动、全覆盖”的诊断生态,为行业提供了兼具国际水准与中国智慧的完整解决方案。


关于仁迈生物:

Realmindbio

仁迈生物专注于“一老一小”特色检测试剂项目以及末梢血全血全自动检测平台的研发、生产和销售。检测试剂产品包括危急重症(心肌炎症、脑梗)、儿童营养及生长发育、脑损伤、阿尔茨海默症、血栓、骨质疏松检测等临床特色项目,共获得NMPA产品注册证80+项,CE认证100+项。累计装机数量800+台,覆盖全国25个省,客户中三甲医院占比约50% 。仁迈生物入选2025江苏省瞪羚企业,目前是罗氏诊断的合作伙伴,已完成C轮融资,投资方包括红杉资本等知名机构。


声明:
1、凡本网注明“来源:小桔灯网”的所有作品,均为本网合法拥有版权或有权使用的作品,转载需联系授权。
2、凡本网注明“来源:XXX(非小桔灯网)”的作品,均转载自其它媒体,转载目的在于传递更多信息,并不代表本网赞同其观点和对其真实性负责。其版权归原作者所有,如有侵权请联系删除。
3、所有再转载者需自行获得原作者授权并注明来源。

最新评论

关闭

官方推荐 上一条 /3 下一条

客服中心 搜索 洽谈合作
返回顶部