迟发性新生儿脓毒症(LONS)仍然是新生儿重症监护病房(NICU)收治婴儿发病和死亡的主要原因。LONS诊断的金标准是外周血培养阳性,但所需时间长达24-72小时。此外,由于血容量低、细菌负荷低、既往抗生素暴露或某些细菌无法在培养基中生长,血培养的敏感性可能有限。LONS的其他诊断方法,包括心率特征(HRC)监测和CRP、PCT和IL-6等生物标志物,在感染早期的诊断准确性有限。因此,疑似LONS而进行抗生素过度治疗是一个大问题,可能导至不良事件,需要制定即时诊断策略,以指导抗生素使用的临床决策。
近日,杂志Pediatric Research上发表了一篇题为“The diagnostic accuracy of presepsin for late-onset neonatal sepsis: a multicenter prospective cohort study”的文章。作者开展了首个前瞻性观察队列研究,研究了presepsin对迟发性新生儿脓毒症的诊断准确性。结果发现,Presepsin作为单一生物标志物,在疑似LONS的婴儿中作为排除LONS的生物标志物,其准确性似乎不足。未来有必要进行更大规模的研究来验证此发现,并调查presepsin与其他生物标志物联合作为诊断工具的临床影响,以促进有关抗生素启动的决策。
作者假设,Presepsin可能是诊断LONS的合适生物标志物。Presepsin是细胞表面受体CD14的一个片段,可以结合细菌配体如脂多糖(LPS)。在与LPS结合后,细胞脱落CD14,产生一种小的可溶性肽,称为可溶性CD14亚型(sCD14-ST)或Presepsin。与其他生物标志物相比,在细菌感染开始后,Presepsin血浆浓度增加得更快,并且可以进行护理点分析。先前的研究将无脓毒症婴儿与LONS病例进行了比较,结果显示Presepsin对LONS的诊断准确率很高。作者进行了首个前瞻性观察队列研究,连续招募了所有疑似迟发性新生儿脓毒症的婴儿,研究了presepsin对迟发性新生儿脓毒症的诊断准确性。
共纳入63例经经验性使用抗生素的疑似LONS的婴儿。其中32例为LONS,其中23例为培养阳性LONS。其他9例LONS被定义为培养阴性LONS,其余31次被归类为非LONS。
病原体情况
图片来源:Pediatric Research
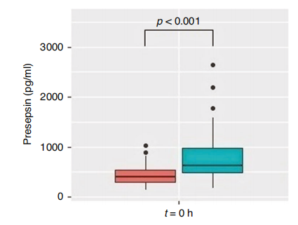
在t=0时,与非LONS组相比(中位数411pg/ml),LONS组的Presepsin浓度显著升高(中位621pg/ml)(如下图),AUC为0.77。约登指数在554pg/ml时最高,敏感性为70%,特异性为77%,PPV为75%,NPV为72%。怀疑脓毒症后T=12和24h的presepsin浓度无统计学意义变化,AUC在t=12h时为0.71,在t=24h为0.65,与t=0时的AUC没有显著区别。
迟发性新生儿脓毒症病例presepsin浓度
图片来源:Pediatric Research
当仅包括培养阳性的LONS和非LONS时,脓毒症怀疑时的AUC为0.80(如下表)。在胎龄大于或小于28周的婴儿中,AUC分别为0.70和0.84。出生后14天前疑似LONS的婴儿的AUC为0.70,而出生14天后招募的婴儿的AUC为0.85。
最初怀疑迟发性新生儿败血症的亚组分析
图片来源:Pediatric Research
在这项多中心前瞻性队列研究中,作者评估了在怀疑患有LONS的婴儿开始使用经验性抗生素之前测定的presepsin的诊断准确性。在所有时间点,与非LONS病例相比,LONS病例的Presepsin浓度均显著高于非LONS病例。在t=0时,所有LONS病例的AUC为0.77,在培养阳性LONS病例的AUC为0.80。Presepsin作为单一生物标志物,在疑似LONS的婴儿中作为排除LONS的生物标志物,其准确性不足。未来有必要进行更大规模的研究来验证我们的发现,并调查presepsin与其他生物标志物联合作为诊断工具的临床影响,以促进有关抗生素启动的决策,从而支持抗生素管理。