立即注册找回密码

QQ登录

只需一步,快速开始

微信登录

微信扫一扫,快速登录

搜索
小桔灯网 门户 资讯中心 市场观察 查看内容

从获证数量看IVD行业发光五虎:数据背后的竞争逻辑

2025-3-4 15:02| 编辑: 沙糖桔| 查看: 3069| 评论: 0|来源: IVD共修

摘要: 产品的注册证书数量是衡量企业研发能力的重要指标之一

在体外诊断(IVD)行业中,产品的注册证书数量是衡量企业研发能力的重要指标之一。获证数量的多寡不仅反映了企业的技术积累和创新能力,更体现了其对市场需求和政策导向的响应效率。本文从国内外主要厂家的获证数据切入,分析其研发能力的差异与竞争格局。



1、发光五虎2024年化学发光领域获证情况

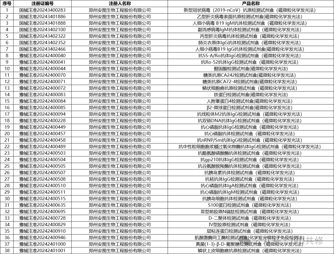
截至2024年12月31日,NMPA化学发光领域注册数据显示:安图生物以38项获证位居榜首,主要集中在肿瘤标志物、自身免疫以及呼吸道病原体标志物;新产业(22项)与迈克生物(21项)紧随其后,新产业重点布局呼吸道与自身免疫,迈克主要布局Torch与自身免疫;亚辉龙(20项)在自免领域表现突出;迈瑞医疗获证13项,主要集中在Torch从上述数据不难看出,未来自免领域的竞争将会加剧,而呼吸道病原体标志物作为热点,各厂家都在积极部署。

数据基于国家药品监督管理局(NMPA)

 

2、化学发光领域证书结构与研发能力的深层关联

单纯的数量对比可能产生误判,需结合证书结构进行多维分析。2024年安图获得III类化学发光证书7项,II类证书31项,其II类证书占比81%;新产业获得III类证书8项,II类化学发光证书14项;迈克获得III类化学发光证书9项,II类证书12项;亚辉龙获得III类化学发光证书3项,II类证书17项;迈瑞获得III类证书8项,II类化学发光证书4项,III类证书占比67%。行业呈现“高端突破+中低端放量”双轨并行态势。


由于III类证书和II类证书含金量不一样,笔者依据个人理解从研发难度、获证周期以及对市场的影响几个方面入手,将III类证书赋值为2,将II类证书赋值为1(数字高低仅表示难易程度,无量值意义),则可以得到各厂家的数值,如下图:

笔者个人理解仅供参考


从图中可以看出,安图依旧一骑绝尘、遥遥领先,其余4家虽然有差距但是差异不大。


3、政策驱动下的研发能力重构

随着《医疗器械监督管理条例》修订及DRG/DIP支付改革推进,注册审评正在从"重数量"向"重质量"转变。这种政策导向正在重塑研发投入方向:头部企业研发费用占比已普遍超过10%,部分企业前瞻性布局微流控、单分子检测等前沿技术,通过"预研一代、注册一代、销售一代"的策略构建技术储备。


获证数量是IVD企业研发能力的显性表达,但真正决定竞争力的,是证书背后的技术创新能力和临床价值挖掘能力。随着行业从"数量扩张"转向"质量竞争",企业需在靶点发现、原材料研发、注册策略等环节构建系统化能力,方能在行业洗牌中占据先机。







排名随机无先后之分。

声明:
1、凡本网注明“来源:小桔灯网”的所有作品,均为本网合法拥有版权或有权使用的作品,转载需联系授权。
2、凡本网注明“来源:XXX(非小桔灯网)”的作品,均转载自其它媒体,转载目的在于传递更多信息,并不代表本网赞同其观点和对其真实性负责。其版权归原作者所有,如有侵权请联系删除。
3、所有再转载者需自行获得原作者授权并注明来源。

最新评论

关闭

官方推荐 上一条 /3 下一条

客服中心 搜索 洽谈合作
返回顶部