立即注册找回密码

QQ登录

只需一步,快速开始

微信登录

微信扫一扫,快速登录

搜索
小桔灯网 门户 资讯中心 医学关注 查看内容

诊断试验Kappa一致性检验!

2025-1-21 14:09| 编辑: 沙糖桔| 查看: 4672| 评论: 0|来源: 分子诊断IVD

摘要: Kappa是用来描述定性(分类)任务中标注一致性的统计量。

在诊断试验中,一种新的体外诊断试剂通常与金标准或已上市同类产品进行一致性比对,以评价两种检测方法结果是否一致。通常,在统计方法选择上,我们会优先选择Kappa一致性检验。Kappa是用来描述定性(分类)任务中标注一致性的统计量。

Cohen's Kappa和Fleiss' Kappa是比较常见的Kappa,Cohen's kappa 和 Fleiss' kappa 是两种以人名命名的统计学方法。前者只能用来评估两位观察者之间的一致性,如评价考核试剂检测结果与已上市同类产品的一致性,后者可以衡量多个观察者对多个对象进行分类时的一致性程度。在IVD临床试验中,主要使用Cohen's Kappa进行一致性分析,因此,本文将重点介绍。

1.Cohen's Kappa

1960Cohen等发表了"A coefficient of agreement for nominal scales"一文,首先提出用Kappa值作为评价一致性程度的指标。他提出的Kappa标准误计算公式(1960Cohen)为:

后来,有学者提出以上标准误计算公式有误,如Everitt,1968年试图修正,但他的计算公式也同样存在错误。

直到1969年,Fleiss, Cohen Everitt三大巨头强强联合,发表了"Large Sample Standard Errors Of Kappa and Weighted Kappa"的重要论文,对标准误计算公式进行了修正。在论文中根据原假设不同,Kappa值标准误采用不同计算公式。如原假设为κ = 0,标准误计算公式为:

2.Kappa值标准误计算现状

值得一提的是,目前国内关于Kappa值标准误的计算也基本上分为两派。一派采用Cohen1960)计算方法,该方法计算简单,易于被大家所接受;一派采用Fleiss1969)计算方法。但通常来说统计专业人员更倾向于选择Fleiss1969)计算方法。

在《对诊断一致性kappa系数及评价指标的探讨》一文中,Kappa系数的标准误Sk也被写成:

实际上,这种写法与前者是一致的,只不过前者使用频数,后者使用频率进行计算。

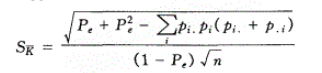
在《Kappa一致性检验在检验医学研究中的应用》一文中,Kappa系数的标准误Sk被写成:

总之,以上两种方法目前均有在使用,具体使用哪种方法读者可自行选择。


参考文献

[1] Cohen, J. (1960). A coefficient of agreement for nominal scales. Educational and Psychological Measurement, 20, 37–46. 

[2]Fleiss, J. L., Cohen, J., & Everitt, B. S. (1969). Large sample standard errors of kappa and weighted kappa. Psychological Bulletin, 72(5), 323–327

[3]闫岩,华琳,张建对诊断一致性kappa系数及评价指标的探讨[J]. 中国卫生统计,2007,24(3):313-315. 

[4]夏邦世,吴金华. Kappa一致性检验在检验医学研究中的应用[J]. 中华检验医学杂志,2006,29(1):83-84. 

声明:
1、凡本网注明“来源:小桔灯网”的所有作品,均为本网合法拥有版权或有权使用的作品,转载需联系授权。
2、凡本网注明“来源:XXX(非小桔灯网)”的作品,均转载自其它媒体,转载目的在于传递更多信息,并不代表本网赞同其观点和对其真实性负责。其版权归原作者所有,如有侵权请联系删除。
3、所有再转载者需自行获得原作者授权并注明来源。

最新评论

关闭

官方推荐 上一条 /3 下一条

客服中心 搜索 洽谈合作
返回顶部