立即注册找回密码

QQ登录

只需一步,快速开始

微信登录

微信扫一扫,快速登录

搜索
小桔灯网 门户 资讯中心 专栏文章 动力彩虹 查看内容

IVD前沿丨膀胱癌高准确率新型甲基化标志物

2024-12-26 17:13| 编辑: 沙糖桔| 查看: 2066| 评论: 0|来源: 小桔灯网 | 作者:动力彩虹

摘要: 此甲基化标记物在非侵入性BC检测中的出色诊断潜力

膀胱癌(BC)通常表现为无痛性血尿,通过膀胱镜检查诊断,然后经尿道行膀胱肿瘤切除术(TURBT)。虽然膀胱镜检查是发现和监测复发性疾病的可靠诊断工具,但它是侵入性的,昂贵的,需要经常去医院,并且有尿毒症等并发症的风险。因此,需要一种具有成本效益和非侵入性的检查方法来检测原发性和复发性BC。因此,开发具有强大诊断能力和易于应用于临床和门诊环境的无创BC尿液生物标志物是一项主要的临床需求。虽然DNA甲基化标记有希望,但诊断性能仍然可以提高。



近日,杂志Scientific reports上发表了一篇题为“Bladder cancer detection in urine by novel methylation markers”的文章。作者评估了11个候选甲基化标记物用于尿BC检测,确定了三个最有希望的标记:NRN1,GALR1和HAND2。联用标记物集显示AUC为0.94,敏感性为84%,特异性为96%。验证集获得了几乎相同的准确度 (AUC 0.89,敏感性76%,特异性93%)。根据临床情况,DCA提示膀胱镜检查可能减少20%至35%。此甲基化标记物在非侵入性BC检测中的出色诊断潜力,强调了它们对未来诊断策略的重要性。

图片来源:Scientific reports



主要内容



候选BC甲基化标记物的评价和选择


在15名对照组和15名原发性BC患者的尿细胞沉淀中评估了11种候选标记物(CDO1、TAC1、SOX17、LHX8、ASCL1、ZNF582、NRN1、GALR1、C2CD4D、CDH13和HAND2)的DNA甲基化水平。除C2CD4D外,病例中所有标记物的甲基化水平均显著高于对照组。三个标记NRN1, GALR1和HAND2表现出完美的诊断性能,AUC为1.00(如下图),因此选择它们进行后续的训练和验证。


候选BC甲基化标记物的评价。图片来源:Scientific reports


训练集DNA甲基化分析检测BC的诊断性能


检测69例对照和77例原发性BC患者尿细胞沉淀中NRN1、GALR1和HAND2标记物的DNA甲基化水平。这三种标志物的甲基化水平在BC患者中显著高于对照组(均P < 0.001)。NRN1的AUC为0.94,GALR1的AUC为0.93,HAND2的AUC为0.90。相应的敏感性和特异性NRN1分别为83%和96%,GALR1为88%和93%,HAND2为75%和100%(如下表)。联用结果显示NRN1/GALR1联用结果最佳,其AUC为0.94,敏感度为84%,特异性为96%。(如下表)。


3个基因甲基化分析检测BC的诊断性能。

图片来源:Scientific reports


验证集DNA甲基化分析检测BC的诊断性能


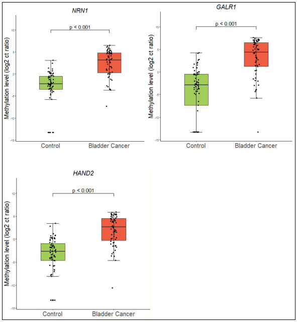
研究结果在一个独立的队列中得到验证,该队列显示BC患者NRN1、GALR1和HAND2的甲基化水平明显高于对照组(均P < 0.001,如下图)。在验证队列中的诊断表现导至NRN1的可比AUC为0.88,GALR1为0.87,HAND2为0.87。在验证队列中,NRN1/GALR1和NRN1/GALR1/HAND2标记板的性能几乎相等,AUC分别为0.89和0.89(如上表)。


验证队列中NRN1/GALR1/HAND2的甲基化水平。

图片来源:Scientific reports


甲基化标记物的临床应用


作者通过计算使用甲基化标记可能避免的膀胱镜检查次数来评估甲基化标志物在日常临床实践中的临床效用。假设显微镜下血尿患者的BC患病率为5%,肉眼血尿患者的BC患病率为15%,无论选择的风险阈值如何,使用我们的标记物都可以减少膀胱镜检查(如下图)。例如,通过在显微镜下血尿中使用风险阈值为10%的NRN1/GALR1标记组,可以避免约30%的膀胱镜检查,而不会遗漏任何癌症。


甲基化标记物的临床应用。图片来源:Scientific reports

总结与讨论


在这项前瞻性生物标志物研究中,作者定义了一个由3个基因(NRN1、GALR1和HAND 2)组成的新型甲基化标记组,用于在家中收集的尿液中检测BC。NRN1/GALR1和NRN1/GALR1/HAND2联合检测的AUC为0.94,相应的灵敏度为84%,特异性为96%。结果在独立验证队列中得到证实(AUC为0.89,敏感性为75%/76%,特异性为93%),表明其检测尿液中原发性BC的稳健性。


此研究的一个局限性是只包括原发肿瘤,这限制了研究结果对监测环境的直接适用性。此外,需要监测研究来验证复发肿瘤。本研究的优势在于新型尿液BC检测标记物具有优异的诊断性能,并且可以在家中收集尿液,并通过常规邮件发送到任何实验室,使其成为日常临床护理中易于应用且真正无创的方法。总之,研究表明,DNA甲基化标记NRN1、GALR1和HAND2在非侵入性检测BC方面具有良好的诊断潜力,并且这些标记能够大大减少膀胱镜检查的次数。这些发现强调了DNA甲基化标记在未来BC诊断中的高诊断潜力。


声明:
1、凡本网注明“来源:小桔灯网”的所有作品,均为本网合法拥有版权或有权使用的作品,转载需联系授权。
2、凡本网注明“来源:XXX(非小桔灯网)”的作品,均转载自其它媒体,转载目的在于传递更多信息,并不代表本网赞同其观点和对其真实性负责。其版权归原作者所有,如有侵权请联系删除。
3、所有再转载者需自行获得原作者授权并注明来源。

最新评论

关闭

官方推荐 上一条 /3 下一条

客服中心 搜索 洽谈合作
返回顶部