立即注册找回密码

QQ登录

只需一步,快速开始

微信登录

微信扫一扫,快速登录

搜索
小桔灯网 门户 资讯中心 技术杂谈 查看内容

⁵ᵐC还是⁵ʰᵐC?甲基化测序

2024-8-23 16:32| 编辑: 沙糖桔| 查看: 2836| 评论: 0|来源: 分子庄园

摘要: 为了对实验的转化效率进行质量控制,一般会在转化实验当中加入内参对照品。



一、⁵ᵐC+⁵ʰᵐC




















1、重亚硫酸盐测序BS-Seq

1)先建库再转化

在illumina Truseq DNA建库试剂盒当中,其接头上的C已经经过甲基化修饰,因此,用这些接头建库后,在上述转化过程中,接头上的⁵ᵐC不会被转化成U。

在用亚硫酸氢盐处理DNA文库时,90%以上的 DNA链会断掉,文库的丰富度就会损失90%以上。

2)先转化再建库

①单链建库

重亚硫酸氢盐会将dsDNA解链成ssDNA,所以需要进行单链DNA建库。

②EpiGnome甲基化建库

a.用重亚硫酸氢盐处理DNA,将未甲基化的C都转成U。

b.把带标签1的随机引物1加入,进行第一次的复制,得到第1条的复制链。

c.消化掉过量的引物1。

d.加入带末端终止碱基、并带标签2的随机引物 2。从而让第一复制链延伸且加上标签2,同时使 PCR得以正常进行。

e.加入建库的PCR引物,进行PCR。通过PCR,把 Index序列和成簇引物序列加入到链的两侧,得到测序可用的文库。

2、TAPS甲基化测序

3、酶法甲基化测序(EM-seq)

Enzymatic Methyl-seq(EM-seq)通过酶法完成WGBS建库,其对DNA的酶处理分为两步:

第一步使用TET2酶以及氧化增强剂将⁵ᵐC和⁵ʰᵐC氧化成⁵ᶜᵃC,保护经过修饰的胞嘧啶;

第二步利用脱氨酶APOBEC对胞嘧啶进行脱氨处理,此步骤不会对5caC造成影响,从而实现⁵ᵐC和⁵ʰᵐC的检测。



二、⁵ᵐC




















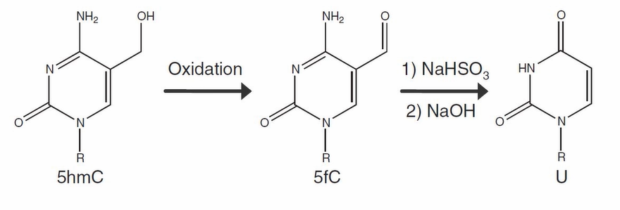
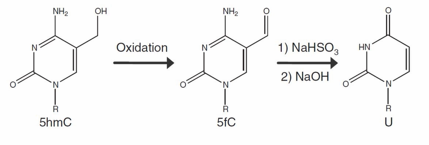
1、氧化亚硫酸氢盐测序oxBS-seq

通过高钌酸钾(KRuO₄)氧化羟甲基化的C,将其转化成甲酰化的5fC。甲酰化的C碱基,可以被重亚硫酸氢盐转化成U;而甲基化的C,不会被转化成 U。这样就把⁵ʰᵐC和⁵ᵐC给区分开来了,可以特异性的检测⁵ᵐC。

研究表明,该反应转化效率是94%左右,同时⁵ᵐC只有 2.1%会被转化成⁵ᶠC。

2、TAPSβ

TAPSβ也是用糖基化酶把羟甲基化的C给保护起来,使其免受TET氧化。

再使用TET酶将甲基化的C转化为羟甲基化的C再转化成甲酰化的C和羧基化的C。

⁵ᶜᵃC则可在吡啶硼烷还原为二氢尿嘧啶,而被保护起来的羟甲基化的C则不变。经过后续步骤测序则可特异性的区分⁵ᵐC。


三、⁵ʰᵐC




















1、BS-Seq和oxBS-Seq联合测序

可实现对⁵ʰᵐC单碱基分辨率的检测。

2、TET辅助的重亚硫酸盐测序(TAB-seq)

①先用糖基把⁵ʰᵐC保护起来,变成⁵ᵍᵐC。

②再用TET酶把⁵ᵐC转变成⁵ʰᵐC,再转化成⁵ᶠC和羧基化的⁵ᶜᵃC。甲酰化的C和羧基化的C都可以被重亚硫酸氢盐转化成U。


之前被糖基化保护起来的⁵ʰᵐC,则不会被TET 蛋白转化成甲酰化的C或者羧基化的C。在重亚硫酸氢盐的处理过程中,它还保持是C,从而将⁵ʰᵐC和⁵ᵐC区分开来,特异性的检测⁵ʰᵐC。

这个方法,没有甲基化的C,99.6%都被转化成了 U;甲基化的C,97.7%都被转化成了U;而羟甲基化的C,只有8%被化成了U。也就是说本法理论转化效率能达到92%。

知识贴:转化效率和内参

为了对实验的转化效率进行质量控制,一般会在转化实验当中加入内参对照品。

1、阴性内参

利用甲基化酶缺陷型大肠杆菌,通过其所生产的完全没有被甲基化的λ(噬菌体)DNA或者pUC19p-primer-质粒)DNA做内参,来看一次实验当中C的转化效率。

实际操作中,一般会选择加入1%的完全没有甲基化的λ DNA做内参。

2、阳性内参

用CpG岛完全被甲基化的DNA来跟踪甲基化DNA对转化的抵抗效果作为参数。

3、APOBEC偶联甲基化测序(ACE-seq)

该技术使用AID/APOBEC家族DNA脱氨酶APOBEC3A (A3A)代替化学脱氨,保证了DNA的完整性。

首先,利用T4 β-葡糖基转移酶(βGT)将⁵ʰᵐC转化成⁵ᵍᵐC,⁵ᵍᵐC不会被A3A酶脱氨基,这样A3A能够特异地脱去C及⁵ᵐC的氨基使其变为U。

而⁵ʰᵐC则因为不被该酶识别,测序时仍被检测为C,这样,⁵ʰᵐC与C及⁵ᵐC就区分开来,实现特异性检测⁵ʰᵐC。

4、CAPS技术

CAPS仍利用了oxBS-seq中高钌酸钾KRuO₄将DNA上的⁵ʰᵐC氧化成⁵ᶠC,⁵ᶠC也可经吡啶硼烷的衍生物(pic-borane)还原成二氢尿嘧啶,从而实现特异性的检测⁵ʰᵐC。


参考文献:

[1]《陈巍学基因》笔记(12)甲基化测序-珠江肿瘤

[2]干货|DNA甲基化和DNA羟甲基化测序技术及5mC和5hmC测序方法-翌圣生物


声明:
1、凡本网注明“来源:小桔灯网”的所有作品,均为本网合法拥有版权或有权使用的作品,转载需联系授权。
2、凡本网注明“来源:XXX(非小桔灯网)”的作品,均转载自其它媒体,转载目的在于传递更多信息,并不代表本网赞同其观点和对其真实性负责。其版权归原作者所有,如有侵权请联系删除。
3、所有再转载者需自行获得原作者授权并注明来源。

最新评论

关闭

官方推荐 上一条 /3 下一条

客服中心 搜索 洽谈合作
返回顶部