立即注册找回密码

QQ登录

只需一步,快速开始

微信登录

微信扫一扫,快速登录

搜索
小桔灯网 门户 资讯中心 专栏文章 动力彩虹 查看内容

IVD前沿丨短和长引物的混合物可显著提高检测基因效率

2024-7-22 10:58| 编辑: 沙糖桔| 查看: 1498| 评论: 0|来源: 小桔灯网 | 作者:动力彩虹

摘要: 可从人体组织样本中更有效地检测到较长的转录本

RNA分析是基因表达研究的一个重要方面,从基础研究到临床诊断都具有重要意义。绝大多数RNA分析的第一步是将RNA转录成cDNA。这个逆转录(RT)步骤具有重要意义,许多因素对RT的效率至关重要,如输入RNA的质量、引物策略、RT酶、缓冲液和反应条件。在引物方面,当目的是分析整个转录组时,广泛使用随机引物。随机引物最常用的引物是随机六聚体(6 mer)。然而,随机引物长度对RNA测序结果质量的影响尚不清楚。



近日,杂志Nature Communications上发表了一篇题为“Exploring the impact of primer length on efficient gene detection via high-throughput sequencing”的文章。在这里,作者比较了不同长度的随机引物在从人脑总RNA生成RNA-seq文库中的表现。令人惊讶的是,结果表明,随机6mer并没有产生最佳的整体性能。相反,随机18mer引物在检测大多数基因时更有效。特别是,可从人体组织样本中更有效地检测到较长的转录本,如蛋白质编码RNA和较长的非编码RNA,而较短的RNA的检测则不受强烈影响。


图片来源:Nature Communications



主要内容


引物长度对库复杂性的影响


为了测试不同长度的随机引物对RNA测序结果的影响,作者根据SMART-seq3文库制备流程制备了RNA测序文库。逆转录步骤中使用了6、12、18和24个核苷酸长度的随机引物。不同RT引物长度导至文库的大小分布没有明显差异。


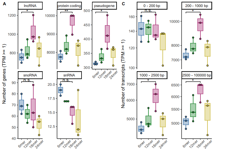
在对文库进行Illumina测序后,作者发现,随机18mer引物检测到最多的基因(图A)和最多的转录本(图B),尤其对于低表达基因检测效率高(FPKM 1 - 20,图C),在高测序深度时更为明显(图D)。虽然可在所有引物中检测到大多数基因,但也检测到引物长度特异性基因。仅被6mer、24mer或12mer检测到的基因比例在4%到5%之间,而仅被18mer检测到的基因比例为10%。


不同长度的引物对检测到的基因进行定量。

图片来源:Nature Communications


检测到的基因的特性


接下来,作者分析了不同随机引物检测到的基因特征。18mer样品检测到的蛋白质编码基因数量最多,而12mer、24mer和6mer引物检测到的数量相似,其中6mer引物效率最低(图A)。同样,其他包含长基因的RNA生物型,如lncRNAs或假基因,用18mer引物检测效率最高。短RNA生物型(snRNA和snoRNAs)倾向于用较短的引物更好地检测。当基因根据转录物长度分类时,检测到的基因的长度依赖性分布更加明显(图C)。这表明,更有效地检测长基因可能是18mer基因检测效率更高的主要原因。


用不同长度的随机引物来鉴定所检测到的基因。

图片来源:Nature Communications


验证结果的可重复性


作者在更高的测序深度进行了第二次独立实验。与第一次测序结果相似,与其他引物相比,18mer对低表达基因的检测效率更高。每个生物型的检测基因分布和每个生物型的TPM与第一次实验相似,其中蛋白质编码基因所占比例最大。虽然与在较低测序深度下进行的初始实验相比,6mer、12mer和24mer引物之间的相对差异发生了变化,但第二次实验证实了使用18mer引物检测较长转录本的优势,而对于较短的生物型,6mer引物再次显示出优势(图E)。


高深度RNA测序后,用不同长度的引物对检测到的基因进行定量。图片来源:Nature Communications


不同RNA来源的RT效率


作者使用不同的RNA来源作为输入进行了额外的测序实验。从非洲绿猴细胞系Vero细胞中分离的RNA制备了测序文库。与前两次实验类似,随机6mer并没有表现出最高的基因检测效率。使用较长的随机引物有增强基因检测的趋势,但总体差异没有人脑实验中那么大。也可以观察到之前实验中引物长度与转录物长度之间的相关性,但程度较低。


作者使用了长度为50、80、150、300、500和1000 nt的人工RNA作为输入材料。再次发现随机6mer更容易生成较短的cDNA,而随机18mer更容易生成较长的cDNA。最后使用6mer和18mer引物的混合物进行了相同的实验。结果表明短和长引物的混合物增强了不同长度RNA的逆转录(图C、D)。综上所述,这些结果表明,在高通量RNA测序中,18mer RT引物比常用的6mer引物更能有效地检测长转录本(特别是> 1000 bp)。


短和长引物的混合物增强了不同长度RNA的逆转录。

图片来源:Nature Communications


总结与讨论


作者研究了不同长度的随机引物对逆转录效率的影响。发现随机的18mer引物在检测不同的转录本时最有效,特别是在构成文库很大比例的较长的生物型(>1000 nt)中,可能是由于引物与目标物之间的氢键数量增加。因此,从实用的角度来看,将随机的6mer替换为18mer,或将18mer添加到6mer中,都是提高转录组学研究文库复杂性的简单实现。此外,这是一种非常经济有效的方法,因为额外的成本限于较长的随机引物的成本,与随机6mer相比约高出33%,与RNA-seq的总成本相比可以忽略不计。且不需要额外的步骤或试剂来实施。


此外,重要的是要考虑到观察到的效果可能是特定于方案的。此研究采用了SMART-seq3方案,有助于减少随机引物的二级结构。18mer引物可能从这种优化中获益,因为与短引物相比,它们在更高的温度下仍然可以更有效地与模板RNA结合。在这种情况下,值得注意的是,随机引物具有25个核苷酸长的5 'adapter,可能对反应动力学有额外的影响。


总之,此研究强调了使用随机的18mer引物在检测广泛的转录本,特别是较长的转录本(>1000 nt)方面是最有效的。这些发现表明,引物长度在逆转录效率中起着重要作用,并强调了诸如RNA-seq等无偏方法对于全面评估引物策略的重要性。

声明:
1、凡本网注明“来源:小桔灯网”的所有作品,均为本网合法拥有版权或有权使用的作品,转载需联系授权。
2、凡本网注明“来源:XXX(非小桔灯网)”的作品,均转载自其它媒体,转载目的在于传递更多信息,并不代表本网赞同其观点和对其真实性负责。其版权归原作者所有,如有侵权请联系删除。
3、所有再转载者需自行获得原作者授权并注明来源。

最新评论

关闭

官方推荐 上一条 /3 下一条

客服中心 搜索 洽谈合作
返回顶部