立即注册找回密码

QQ登录

只需一步,快速开始

微信登录

微信扫一扫,快速登录

搜索
小桔灯网 门户 资讯中心 专栏文章 动力彩虹 查看内容

IVD前沿丨AD检测的新型标志物

2024-5-6 16:32| 编辑: 沙糖桔| 查看: 1584| 评论: 0|来源: 小桔灯网 | 作者:动力彩虹

摘要: 阿尔茨海默病(AD)是老年人中最常见的痴呆症。

阿尔茨海默病(AD)是老年人中最常见的痴呆症。大约60%至80%的痴呆病例被诊断为AD,在美国,AD被列为第六大死亡原因。在可检测到阿尔茨海默病症状之前,大脑环境发生了变化。因此迫切需要建立有效的生物标志物来预测症状前阶段的认知能力下降,以便在疾病的早期阶段识别患者并启动预防/治疗干预。


近日,杂志Science Advances上发表了一篇题为“CSF biomarkers of immune activation and Alzheimer’s disease for predicting cognitive impairment risk in the elderly”的文章。作者测量了365种脑脊液免疫激活标志物,以及AD生物标志物(Aβ42、总tau、p-tau181、NfL、Ng、SNAP25和YKL40)。本研究的目的是评估脑脊液免疫激活标志物和已建立的AD生物标志物与APOE基因型、临床特征,以及认知状态进展的关联,以及了解免疫激活标志物和AD生物标志物之间的关系。 

图片来源:Science Advances


主要内容

APOE对脑脊液中AD生物标志物

和免疫激活标志物的影响

在这项纵向队列研究中,共有298名来自MCSA(梅奥诊所的衰老研究)的认知未受损个体(CDR = 0)。中位年龄为74岁,178名参与者(59.7%)为男性。总共评估了脑脊液中7种AD生物标志物(Aβ42、total tau、p-tau181、NfL、SNAP25、Ng和YKL40)和365种免疫激活标志物。APOE4受试者的Aβ42显著低于APOE3受试者,而SNAP25较高。APOE2和APOE3受试者之间FCRL3,APOE4和APOE3受试者之间p-tau181、CSF3、 IL-22RA1和IL-24 的差异具有显著性(如下图)。


APOE组,脑脊液中的免疫激活标志物和AD生物标志物。

图片来源:Science Advances


年龄、性别和其他特征对脑脊液中

AD生物标志物和免疫激活标志物的影响

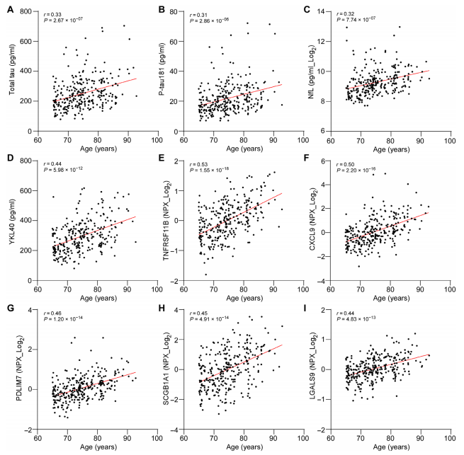
年龄是影响脑脊液AD生物标志物的最强因素。年龄大与YKL40、total tau、NfL和p -tau181 的增加均显著相关(如下图),且与Ng和SNAP25的增加有相关性。此外,在多变量分析中,男性与较高的NfL水平,肥胖与YKL40之间存在相关性。


年龄也是脑脊液免疫激活标志物的主要影响因素,其中TNFRSF11B、CXCL9、PDZ和PDLIM7、SCGB1A1和LGALS9与年龄的关联最强(如下图)。CSF免疫激活标记物也观察到与性别和糖尿病有很强的相关性,男性具有较高水平的PGF、MEPE、EPHA1、EDAR和CCL23,糖尿病人具有较高水平的REG4、LGALS4、CCL21、FABP1、和TFF2。


年龄与脑脊液中免疫激活标志物和AD生物标志物的相关性。

图片来源:Science Advances


CSF免疫激活标记物

与AD生物标记物之间的关联

每个AD生物标记物都与大量免疫激活标记物显著关联。位居前列的是Aβ42与CXADR、CLSTN2和BSG;total tau与DNAJA2、BSG和TNFSF12;p-tau181与DNAJA2、BSG和TNFSF12;NfL与FLT3LG、IL-15和TNFRSF11A;SNAP25与ROBO1, VEGFA和CRIM1;Ng与BSG、DNAJA2和CXADR;YKL40与BSG、DNAJA2和CXADR(具体见文章表4)。


基于CSF免疫激活标志物

和AD生物标志物的CDR转变预测

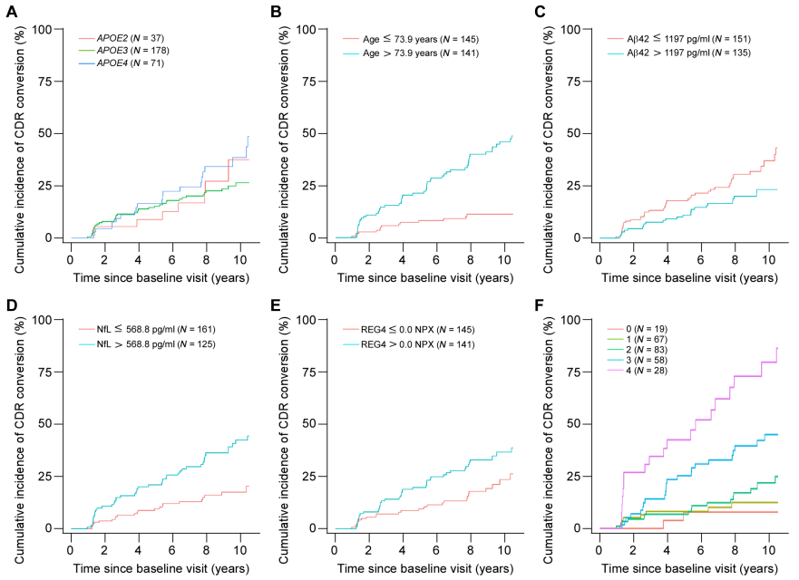
作者研究了基线CSF免疫激活标记物和AD生物标记物是否可以预测受试者CDR从0到>0的转变。在多变量分析中,基线就诊年龄越大与CDR转变风险增加之间存在显著关联;年龄预测CDR转变的c-index为0.699。Aβ42与CDR转变有统计学显著相关,NfL、REG4、MICB_MICA、和SCGB3A2也有相关性,相应的c-指数分别为0.617、0.659、0.630、0.565和0.664。作者在Cox回归分析中纳入了所有参与者特征,Aβ42和NfL,以及REG4, MICB_MICA和SCGB3A2。结果显示年龄、Aβ42 、NfL、REG4的相关性均有统计学意义。最终的模型c-index为0.762(如下图)。在其他数据集的多变量分析证实CDR转变与年龄,脑脊液Aβ42和NfL水平相关,但与REG4 无关。


基线随访后CDR转变的累积发生率。

图片来源:Science Advances


总结与讨论

作者研究了APOE基因型、年龄和性别等危险因素如何影响脑脊液(CSF)中的炎症分子和AD生物标志物。在65岁以上认知功能正常的个体(N = 298)中,测量了365个脑脊液炎症分子,发现年龄、性别和糖尿病状况主要影响其水平。观察到AD生物标志物如总tau、磷酸化tau-181、神经丝轻链(NfL)和YKL40与年龄相关。APOE4与脑脊液中Aβ42的降低和SNAP25的升高相关。作者探索了预测认知能力下降风险的基线变量,发现年龄、 Aβ42、NfL和REG4是独立相关的。在随访期间,年龄较大、基线时Aβ42较低、NfL较高和REG4较高的受试者认知障碍风险增加。这表明评估脑脊液炎症分子和AD生物标志物可以预测老年人的认知障碍风险。


总之,此研究表明CSF免疫激活标记物与AD生物标记物密切相关。结合脑脊液生物标志物和流行病学/临床特征可以更好地阐明老年人在症状出现之前发生认知能力下降的倾向。未来的研究应该在独立的队列中验证此发现。然而,此研究是在MCSA进行的,多样性相对较少。应该仔细考虑在相对较小的样本量中进行多次检测校正后出现假阴性结果的可能性。尽管如此,此发现可能会让研究人员和卫生保健专业人员更好地了解与年龄相关的认知能力下降的过程,并确定潜在的治疗目标和个体化药物。

声明:
1、凡本网注明“来源:小桔灯网”的所有作品,均为本网合法拥有版权或有权使用的作品,转载需联系授权。
2、凡本网注明“来源:XXX(非小桔灯网)”的作品,均转载自其它媒体,转载目的在于传递更多信息,并不代表本网赞同其观点和对其真实性负责。其版权归原作者所有,如有侵权请联系删除。
3、所有再转载者需自行获得原作者授权并注明来源。

最新评论

关闭

官方推荐 上一条 /3 下一条

客服中心 搜索 洽谈合作
返回顶部