立即注册找回密码

QQ登录

只需一步,快速开始

微信登录

微信扫一扫,快速登录

搜索
小桔灯网 门户 资讯中心 专栏文章 动力彩虹 查看内容

IVD前沿丨可检测癌症及识别肿瘤组织来源新技术

2024-4-24 16:12| 编辑: 沙糖桔| 查看: 2005| 评论: 0|来源: 小桔灯网 | 作者:动力彩虹

摘要: 并可用于检测和监测癌症,以及识别肿瘤的组织来源。

基因组重复序列包含了人类基因组的一半以上,主要由串联重复序列和逆转录转座子组成。串联重复序列,如人类卫星DNA;逆转录转座子包括LINEs、SINEs、LTRs和其他转座元件。长期以来,重复序列的改变一直与癌症的发展有关。在癌症中,整体低甲基化可驱动转座元件移动,导至癌基因激活和基因组不稳定。串联重复序列在拷贝数变异区域的断点上富集,而Alu重复序列在缺失和重复断点上富集。上述重复元件的变化是癌症基因组的广泛特征。




随着液体活检技术的发展,重复序列的分析已经开始在cfDNA中进行。最近,逆转录转座子和非端粒卫星DNA已被用于评估cfDNA的总体数量或非整倍性。但尚未对任何人类癌症的组织或cfDNA中的重复序列进行系统分析,这主要是因为无法以全基因组的方式识别和量化重复序列。


近日,约翰·霍普金斯大学在杂志Science translational medicine上发表了一篇题为“Genome-wide repeat landscapes in cancer and cell-free DNA”的文章。作者开发了一种名为ARTEMIS(疾病重复元件分析)方法,用于分析短读序列中的重复图谱。结果表明,在人类癌症中,重复序列景观发生了广泛的改变。重复元件在癌症中常见改变的基因区域中富集,在cfDNA中可检测到重复图谱的变化,并可用于检测和监测癌症,以及识别肿瘤的组织来源。


图片来源:Science translational medicine


主要内容




ARTEMIS方法概述。

对kmer的从头鉴定揭示了大约12亿个独特的kmer,覆盖1280种不同的重复元件。这些重复元件代表六个家族:转座元件、SINEs、卫星、LTRs、LINEs和RNA元件。在单个样本中,kmers重复图谱被定义为包含所有reads中识别的每种重复类型的所有kmers的总和,并按coverage归一化。kmers重复图谱被用于机器学习,以生成用于疾病表征和预测的ARTEMIS评分。


ARTEMIS方法概述。

图片来源:Science translational medicine



癌症相关基因和通路中

重复kmers的全基因组富集

首先研究了独特重复类型的12亿kmers的全基因组分布,发现重复元件在人类癌症中普遍改变的基因中富集。在736个COSMIC癌症驱动基因中,有487个基因的外显子或内含子序列中重复kmer序列的数量高于预期,这些区域的重复kmer平均增加了15倍。重复kmer序列在癌症中常见的失调通路中也显著增加,包括细胞粘附、生长和信号通路,以及癌症类型特异性基因集。



Kmer重复序列景观在癌症基因组中发生了改变

作者使用短读NGS评估了癌症中kmer重复景观是否发生了改变。作者分析了525例患者,包括乳腺、肺、结直肠、肝脏、甲状腺、头颈部鳞状细胞、卵巢、胃、膀胱、宫颈或前列腺癌症,并确定肿瘤中特定重复元件类型的全基因组kmer计数是否发生改变。结果显示,与匹配的正常组织相比,肿瘤中有中位数807个重复元件的kmer计数增加或减少。近三分之二改变的重复元件以前没有在癌症中被观察到发生改变。此外,kmer重复景观变化较多的肿瘤具有更高的染色体不稳定性,这反映在整体基因组熵、杂合性缺失等全基因组结构变化指标。


525个样本重复元件的位置和肿瘤序列断点分析结果显示,有215种元件富集在断点位置,包括LINEs,SINEs,LTRs,转座元件和RNA元件,表明这些元件可能在促进这些结构变化中发挥作用(图B)。总的来说,这些分析突出了kmer重复景观检测和表征人类癌症中各种结构变化的能力。


重复元件富集在肿瘤序列断点位置。

图片来源:Science translational medicine



Kmer在cfDNA中重复序列景观

作者下一步尝试确定是否可以使用低覆盖率的cfDNA测序来量化血浆中的重复序列。结果显示,与非癌症个体的血浆相比,肺鳞癌或腺癌或肝癌患者的血浆中观察到的许多重复kmer的增加或减少明显(图B)。不仅包括已知在癌症中起作用的元件,如LINE L1,还包括新发现,如DNA-hAT-Charlie和LTR ERV1、ERVLMaLR和ERVL。


Kmer在癌症患者cfDNA中重复序列景观。

图片来源:Science translational medicine



ARTEMIS kmer重复图谱分析

用于癌症检测和监测

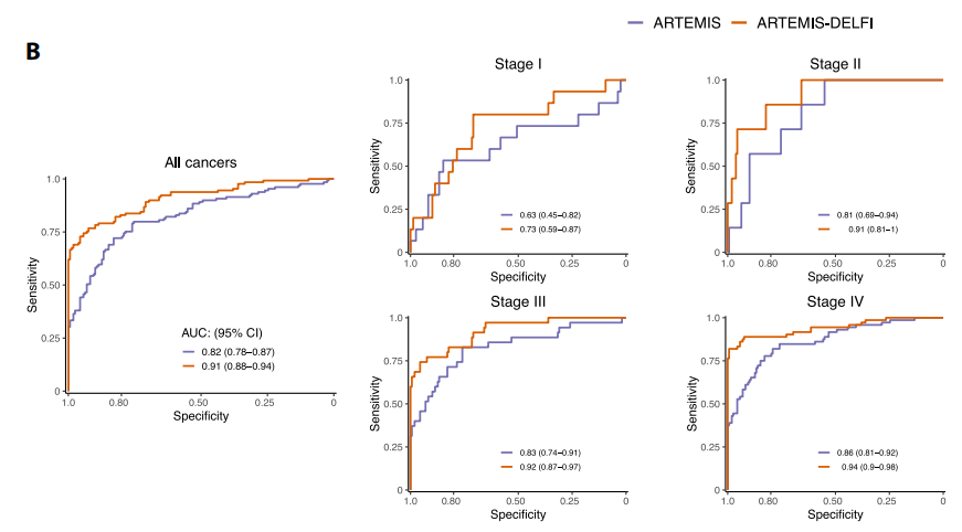
作者通过kmer重复图谱使用机器学习模型检测丹麦肺癌筛查研究队列(n = 287)中的肺癌以及高危人群中的肝癌(n = 208)。ARTEMIS分类肺癌患者AUC为0.82,当联合DELFI全基因组碎片特性,ARTEMIS-DELFI联合模型分类肺癌患者AUC为0.91(图B)。ARTEMIS在肝硬化或病毒性肝炎患者中分类肝癌的AUC为0.87,联合DELFI后,AUC提高到0.90。


最后,作者评估了ARTEMIS是否有助于确定肿瘤组织或cfDNA样本来源。训练一个机器学习模型利用kmer重复景观区分组织类型,12肿瘤类型中分类肿瘤的组织起源的准确率在78%。将这种方法扩展到cfDNA,ARTEMIS-DELFI正确地将不同癌症类型的检测患者进行了分类,平均准确率为68%。


ARTEMIS kmer重复图谱分析用于癌症检测。

图片来源:Science translational medicine



总结与讨论

作者开发了一种名为ARTEMIS方法,用于从全基因组测序中识别重复元件。使用这种方法,作者在癌症患者中发现了1280种重复元件类型的肿瘤特异性变化。重复元件在驱动基因区域富集,可能为癌症中染色体的结构改变和基因组不稳定性提供了潜在的基础。在交叉验证和外部验证的队列中,对全基因组重复序列和cfDNA片段图谱进行机器学习分析可检测到早期肺癌或肝癌患者。此外,重复图谱可以用来无创地识别肿瘤的起源组织。这些分析揭示了人类癌症重复图谱的广泛变化,并提供了一种检测和表征癌症的方法,这可能有利于癌症患者的早期检测和疾病监测。


但研究也有一些局限性。虽然在外部验证了ARTEMIS的癌症检测,但在更大的筛查人群和其他应用中验证这种方法是至关重要的。ARTEMIS的另一个局限性是,它依赖于对重复序列变化的评估,但这些在不同个体中是可变的。重复元件变化的具体位置可能不能通过ARTEMIS直接确定。

声明:
1、凡本网注明“来源:小桔灯网”的所有作品,均为本网合法拥有版权或有权使用的作品,转载需联系授权。
2、凡本网注明“来源:XXX(非小桔灯网)”的作品,均转载自其它媒体,转载目的在于传递更多信息,并不代表本网赞同其观点和对其真实性负责。其版权归原作者所有,如有侵权请联系删除。
3、所有再转载者需自行获得原作者授权并注明来源。

最新评论

关闭

官方推荐 上一条 /3 下一条

客服中心 搜索 洽谈合作
返回顶部