立即注册找回密码

QQ登录

只需一步,快速开始

微信登录

微信扫一扫,快速登录

搜索
小桔灯网 门户 资讯中心 检验杂谈 查看内容

【冯仁丰】 CC的蛋白检测问题

2023-3-1 14:39| 编辑: 沙糖桔| 查看: 2797| 评论: 0|来源: 冯仁丰

摘要: 血清和血浆白蛋白的检测被广泛地用于医学



CC的白蛋白检测问题

冯仁丰



背景:血清和血浆白蛋白的检测被广泛地用于医学,包括在肾透析中心中病人护理质量的指示。

方法:收集没有肾病病人的血清(n = 50)、血浆(n = 48),肾衰病人血液透析前的血清(n =53)例。所有样品和ERM-DA470k/IFCC参考物质(RM),以3个免疫化学、9个溴甲酚绿(BCG)、和12个溴甲酚紫(BCP)方法检测。

结果:3个免疫化学程序的2个、9个BCG的5个、和12个BCP的10个方法,回收的RM值在它的不确定度内。一个免疫化学和3个BCG方法相对于RM值有偏移。所有检测程序的随机误差成分很小。选定Tina-quant免疫化学程序为参考检测程序,这是依据回收率和误差分析结果。BCG对于Tina-quant的平均偏移为1.5%到13.9%,在较低白蛋白浓度处更大。BCP方法的平均偏移为-5.4%到1.2%,无论白蛋白浓度。在所有方法类型中,血浆样品的偏移一般高于血清样品。对大多检测程序,进行血液透析病人相对于无肾病病人的血清,偏移较小。

结论:在免疫化学、BCG和BCP间显著差异,影响了血清白蛋白结果的解释。在临床管理肾病和其他疾病的指导和计算,必须考虑进行白蛋白检测的方法,直至实现一致性。

讨论

检验医学溯源性联合委员会(JCTLM)列出了依据免疫检测原理的透射比浊或散射比浊原理,去检出免疫复合物作为血清中白蛋白的一个RMP(20)。ERM-DA470k/IFCC被列为免疫检测校准的一个认证 RM。我们使用Tina-quant透射比浊免疫化学检测程序作为RMP,去确定检测程序和样品类型间的相对偏移,因为它在RM中具有出色的白蛋白回收,和很小的随机误差成分。在其他2个免疫化学方法间,Immage散射程序具有与Tina-quant详细的性能,但BN II对于RM值和Tina-quant程序,在所有样品类型中有显著的正偏移。这些观察隐含了BN II的校准是不正确的,使用一个免疫化学检测原理不可确保白蛋白的准确结果,除非校准溯源性被验证。


一般,BCG方法与BCP方法相比有较高的偏移。BCP方法对于RMP的平均偏移较小,并比例误差的大小不随浓度改变。相反,BCG方法对于RPM的平均偏移较大,呈比例误差随白蛋白浓度而异,在白蛋白较低浓度处有较大的正偏移。另外,在BCG方法与BCP方法间的比较,有较大范围的差异,说明BCG方法在很大程度上被其他样品中的蛋白或物质影响,超过BCP。


依据生物变异指标,在整个生理上合理的浓度范围,没有一个BCG方法符合偏移的最低性能规范。但12个BCP方法的8个符合了偏移的最低性能规范,没有这样的BCP方法的偏移通常比BCG方法观察到的要小。我们的数据说明,BCP方法对白蛋白有较好的选择性,具有比例偏移,看来结果的一致性可以达到。但是BCG方法随浓度变异的偏移和非选择性,隐含了实用BCG技术不可被一致,应从临床实验室中消除。


使用肝素处理的血浆的检测,在BCG方法中产生错误结果,已在以往报告中观察到(24,25)。本研究的的所有检测,除了Immage散射程序外,均被美国FDA批准,可使用血清和肝素化的血浆样品。我们的观察建议,特异性问题与肝素化样品有关,将继续是近期产生的BCG方法的问题。


24个检测程序中的19个,声明具有校准溯源性到ERM-DA470k/IFCC或它predecessor的ERM-DA470血清的RM。在实施校准溯源性做法中的差异,看来归因于偏移。但是肾病的还是非肾病的在血清或血浆间,结果的差异也支持了白蛋白方法,作为suffering因选择性的局限性,在样品类型间也不同。


血清和血浆白蛋白使用染料技术实现一致的结果,将要求规定单一试剂类型。我们的数据支持BCP作为优选的方法,因为相对偏移小于BCG方法,并在整个检验的浓度区间是恒定的,但BCG方法在整个浓度区间不呈比例的偏移,使得标准化不可能。


所有BCP和9个BCG方法的6个,回收ERM-DA470k/IFCC RM靶值很相似。病人样品和未稀释的和稀释的RM,免疫化学的和BCP对于RMP结果,具有类似的关系,看来RM适合用于这些方法。但是,稀释的RM结果在BCG方法,具有值得注意的不同关系,所以,稀释的RM会在BCG方法中,与病人样品不可互换。我们不知道,在校准溯源性方法中稀释了RM被厂商使用;如果使用了稀释的物质,BCG方法具有了互换性的问题。原先预期使用RM分析证书声明是,为校准免疫检测程序,包括关于对染料结合方法的minimal信息,建议了对特定检测程序使用应予以确认。需要进一步研究去确定RM为染料结合白蛋白检测程序的互换性特性。


白蛋白检测程序偏移的差异对病人诊疗有影响。美国的国家肾脏基金会关于慢性肾衰竭的营养指南(The National Kidney Foundation’s guidelines on nutrition in chronic renal failure)


建议进行肾透析病人的白蛋白常规检测(11,26)。在美国的Medicare和Medicaid服务中心,设定了透析病人护理的标准(27)。与前述指导(11)一致,目标(28)是:使用BCG方法检测的(或以BCG方法为(实验室正常的))白蛋白浓度≥ 4.0 g/dl(40 g/L)。


2016年,透析中心被预期,在38%治疗病人中达到白蛋白高于40g/L(29)。对血清白蛋白<35 g/L的病人,中心必须说明证据,计划改善营养。对于病人白蛋白低于该指导值的,应aggressive强烈补充蛋白(30)。补充会不利地影响无机磷、钾、和其他电解质,补充的费用和个人的时间通常nonreimbursable,还没有说明对明确的死亡率好处(31,32)。白蛋白检测没有标准化,使大量透析病人遭受未被证实和耗费治疗的风险。


白蛋白检测程序的选择,肾病样品百分数上产生了很大的差异,与本研究目标一致。BCG方法间,白蛋白目标是≥ 4.0 g/dl(40 g/L),以Advia 2400检测,有32%的样品符合,但以Architect c16000检测的,仅13%样品符合。同样,这些检测程序的70%和36%的结果,分别处于或高于35g/L。很明确,在固定浓度处使用质量目标,与白蛋白方法一致性的近期状态出现问题。


检测程序结果间差异的另一个影响示例是,在使用血清白蛋白计算“纠正的”血清钙浓度上apparent很明显(33)。计算期望考虑钙被白蛋白结合量的差异,这样下降了生物学上激活的未结合的钙。这样的计算经常被用于具有低白蛋白的病人,包括具有肝病和肾病的和癌症病人。正如Labriola等展现的(33),被纠正的钙结果产生了不一致的calcemic钙血状态;这是以Roche Modular P的BCG检测程序,与Beckman Unicel DxC800 BCP检测程序比较。我们的结果与这些发现一致,说明“纠正”的钙将不仅被BCG或BCP方法的选择,而且被特定的实施给定检测程序受到很大的影响。样品类型也将影响“纠正的”钙。只有在达到了白蛋白检测一致了,白蛋白检测的分析变异支持远离“校正”钙的使用。与这个观点一致的,2016年Medicare 和Medicaid服务中心更新了透析中心指导(29),已经以“未纠正的钙”替代了“纠正的钙”。


血清白蛋白也用于临床对终末端肾病病人作出决定,他们必须在肾移植和透析间选择(34)。决定有助于使用单一白蛋白判断限35g/L。病人的白蛋白低于该判断限的,预示进行人透析1-年存活,减少到10%,但对肾移植后预示存活的影响几乎很小。Emory大学外科网页(35)提供了该问题的进一步信息。白蛋白检测程序的选择,会影响许多肾透析病人,如,以Advia 2400 BCG检测程序检测,在现有研究中有70%结果为肾病样品的是≥35 g/L,但以Architect c16000 BCG检测程序的,这些样品仅36%结果≥35 g/L。


这个研究的局限性包括:使用了混合样品,而不是各个病人样品,因样品量有限。混合样品会不是各个样品的代表。具有高浓度白蛋白的样品与较低浓度样品混合,以高浓度样品内的白蛋白形式为主,干扰影响了被稀释的样品内存在在的物质。另一个局限性是对RM仅被作为RMP(Tina quant)做单次检测。有可能样品特定的影响了Tina-quant检测程序,会混淆了我们的观察。另外,检测间精密度估计是进行有限批检测得到的。


总之,BCG方法与BCP方法相比,在与RMP比较时,有较大的偏移。另外,BCG方法的偏移,不是BCP方法,随白蛋白浓度而异。因使用BCG和BCP方法得到的检测间的一般差异,以及每个方法类型的特定厂商实施间的差异、白蛋白浓度的单个决定限值,看来不适宜病人诊疗的决定。白蛋白结果使用染料结合方法的标准化,将要求接受BCP作为优选试剂。




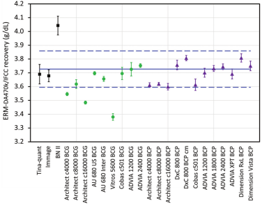
以下为文章中的几个附图:

图1  对混合ERM-DA470k/IFCC RM靶值的白蛋白回收率

中间直线为混合RM靶值,虚线为它的不确定度(k = 2)。以黑色方块为免疫化学方法的均值,绿色圆点为BCG方法均值,紫色三角为BCP方法均值。每个点上的线段为误差范围,代表方法均值的不确定度(k = 2)。图中白蛋白浓度为g/dl。



 。

图2  非肾病血浆(较深颜色)和非肾病血清(浅色加斜线)

在每个方法与Tina-quant RMP结果的差。每个方块内有中位数(黑色线)、方块两端为25th和75th的百分位数。黑色点说明超出了10th和90th百分位数。Tina-quant中位数值,血清和血浆分别为32.8和29.5 g/L。



 ;

图3  每个方法对于Tina-quant RMP结果的差异

为血液透析病人(较深色)样品和非肾病血样品(色浅具斜线)。其他同上图。Tina-quant的中位数,肾病和非肾病样品分别为34.1和32.8 g/L。



 。

图4  BCG和BCP方法相对于Tina-quant RM差异图

差异以Ln(浓度)表示。(A)对病人样品具有最小偏移的BCG方法;(B)对病人样品具有最大偏移的BCG方法;(C)对病人样品具有最小偏移的BCP方法;(D)对病人样品具有最大偏移的BCP方法。

转载请注明出处

微信公众号:冯仁丰

声明:
1、凡本网注明“来源:小桔灯网”的所有作品,均为本网合法拥有版权或有权使用的作品,转载需联系授权。
2、凡本网注明“来源:XXX(非小桔灯网)”的作品,均转载自其它媒体,转载目的在于传递更多信息,并不代表本网赞同其观点和对其真实性负责。其版权归原作者所有,如有侵权请联系删除。
3、所有再转载者需自行获得原作者授权并注明来源。

最新评论

关闭

官方推荐 上一条 /3 下一条

客服中心 搜索 洽谈合作
返回顶部