立即注册找回密码

QQ登录

只需一步,快速开始

微信登录

微信扫一扫,快速登录

搜索
小桔灯网 门户 资讯中心 专栏文章 oryza专栏 查看内容

评测 | 中检院发起28款呼吸道病原体试剂盒大PK

2022-6-6 10:44| 编辑: 沙糖桔| 查看: 4309| 评论: 1|来源: 小桔灯网 | 作者:奔跑的骆驼

摘要: 别看拿证的只有几家,呼吸道病原体的玩家还真是蛮多的,耳熟能详的分子诊断公司基本都在了。


摘要


小编在学习最低检测限相关的文献时,偶遇一篇中检院专注最低检出限这一性能指标,同步评比28个国产呼吸道病原体检测试剂盒的文章,汇集了当前分子诊断领域的多家公司,诸如之江、圣湘、达安、透景、硕世等等,内容相当精彩特推荐给大家,希望能带来启发。



引言


今年1月18日,施瓦布社会创业基金会在2022世界经济论坛的达沃斯宣布,全球共15人上榜年度社会创新者名单,其中唯一的中国获奖者是杭州老爸评测创始人魏文锋。这个最初只是为了检测女儿的包书皮是不是合格的魏老爸,已经在评测的道路上越走越成熟。



说起评测,大家更熟悉的可能是那个曾经跟锤子罗永浩狼狈对峙,后来甩手转嫁董明珠的手机评测大拿王自如。那么我们IVD行业,有没有这类评测的可能性呢?小编跟朋友喝茶谈天的时候,也曾构思能不能联合检验机构搞个IVD试剂大测评,比如HPV、新冠这种高消耗的试剂,都拉出来溜溜,再各家收点保护费……


吹完也就回家洗洗睡了,但当小编看到《基于不同型别腺病毒标准品的呼吸道病原体核酸试剂最低检测限性能评价》这篇文献时,才发现中检院已经开始行动了。先来看看网罗的公司阵列——


涉及公司汇总


大咖就是大咖,一出手就网罗了24家分子诊断相关的公司。别看拿证的只有几家,呼吸道病原体的玩家还真是蛮多的,耳熟能详的分子诊断公司基本都在了。



涉及产品汇总


下表列出了本次评测涵盖的28种试剂盒 



其中注册情况、单病原or多重、浓度单位和方法学情况统计如下:



方法学层面,最常规的还是荧光PCR方法,但同时也朝着POCT和自动化的方向在探索和发展。



关于呼吸道病原体的背景资料

呼吸道病原体感染引发的疾病是人类最常见感染性疾病之一,近年来已发生包括:

2003年非典型性肺炎(severe acute respiratory syndrome, SARS )

2009年甲型H1N1流感

2013年H7N9禽流感

2015年中东呼吸综合征(MERS)

目前仍在全世界流行的新型冠状病毒肺炎(COVID-19)等


多个呼吸道病原体引发的疫情快速和早期检出病原体感染是控制感染传播和及早进行抗病毒治疗或干预的关键。


呼吸道病原体核酸检测作为目前主要的诊断方法,其敏感性高、特异性强,能够早期诊断,在防止疫情暴发流行、延缓传播速度及指导临床治疗等方面起到了重要作用。受新冠疫情影响,近几年国内外研发及上市了大量新冠及呼吸道病原体核酸检测试剂。


人腺病毒(human adenovirus, HAdV )目前已发现7个亚群(A-G),超过50种血清型和90种基因型。致病性腺病毒可感染呼吸系统、消化系统、泌尿系统和眼部等,引起相应的临床症状,其中以呼吸道腺病毒更为常见。可导至呼吸道感染的腺病毒主要集中在B亚群,包括3、7、11、14、16、21、34、35、50和55等,另外C亚群的1、2、5、6、57型等也常引起呼吸道感染HAdV型别多样,但目前的多数呼吸道病原体核酸检测试剂在研发时未使用多种型别进行最低检测限(limit of detection, Lod)性能的评估。2019年,国家药品监督管理局(NMPA)起草并发布了《呼吸道病毒多重核酸检测试剂技术审查指导原则》,用于对本类试剂研发和注册申报进行指导,其中明确要求应至少使用HAdV l、2、3、4、 5、7、55型等七种型别对试剂盒的Lod等性能进行评估。目前国内外并无针对企业研发试剂时Lod性能评估准确性的相关研究,本研究使用已研制的呼吸道腺病毒核酸标准品对国内28种呼吸道病原体核酸检测试剂的Lod进行了评估和比较。


标准品信息

病毒培养物冻干:

人呼吸道腺病毒1、2、3、4、5、7、55型核酸标准品由本实验室提供,均为腺病毒培养物经热灭活后冻干制备而成。


定值:

标准品采用多数字PCR平台、多实验室进行联合定值。腺病毒1、2、3、4、5、7、55型核酸标准品浓度如下:



试剂盒Lod评估

参照美国临床实验室标准化协会(Clinical and Laboratory Standards Institute, CLSI)的EP17-A2文件,采用Probit回归方法对28 种不同方法学原理的呼吸道病原体核酸检测试剂的最低检测限进行评估根据待评估试剂盒lod水平,对已知浓度的1、2、3、4、5、7、55型HAdV核酸标准品进行3倍倍比稀释,在试剂盒Lod浓度上下各进行21次重复检测,具体检测过程按照试剂盒说明书要求进行:使用SPSS16. 0软件对各试剂盒检测不同型别标准品的结果进行Probit回归分析,将 95%置信水平浓度作为其评估Lod( measured Lod);


Lod比较分析:如果试剂对各型别HAdV的评估Lod浓度均不高于2倍声称Lod浓度(2 X claimed Lod)为一致性较好;如试剂评估Lod浓度大 于2倍声称Lod浓度,则视为一致性较差。


整体结果如下:



前12个试剂盒(中检院是匿名测试,与上面的试剂盒顺序无关)1、2、3、4、5、7、55型HAdV核酸标准品的评估Lod浓度均小于2倍声称Lod浓度,其声称Lod与评估Lod一致性较好,代表这些试剂盒Lod性能评估具有较好的准确性。


试剂盒Kit 13-24(共12种)声称Lod与评估Lod的一致性较差,其中


浓度最低的是Kit 1,为20拷贝/ml ( HAdV 1型)

浓度最高的是Kit 23,为4. 8xl0^7拷贝/ml(HAdV 4型)

其差别可高达10^6数量级。


一致性较差的原因分析

一致性差异较大的8种试剂盒(Kii 17—kit 24)中,除3种方法学为荧光PCR 法外,其余均为数字PCR法、核酸质谱法、PCR毛细电泳片段分析法及微流控芯片-PCR荧光探针法等, 使用新方法学的研发企业往往成立时间较短,其研发经验缺乏及使用方法学的欠缺成熟稳定是导至一致性较差的可能原因。


友情提醒

部分试剂对不同型別腺病毒的检测LoD也不相同,其最低和最高评估LoD差异普遍在10^1数量级以上,最高可达10^4 数量级,提示不管是试剂研发企业对其试剂进行性能评估还是临床机构在进行试剂性能验证时,都应遵循《呼吸道病毒多重核酸检测试剂技术审查指导原则》的郴关原则,选择试剂检测范围内的多种病原体型别或亚型进行性能评估和验证。


掣肘&商机

本研究显示,部分呼吸道病原体核酸检测试剂检测腺病毒的分析灵敏度性能评估仍缺乏准确性, 企业应在对其引物探针序列进行充分比对分析的基础上,使用检测范围内的多种病原体、多种型别或亚型进行分析性能评估。


但因生物安全管理相关制度、与国外机构如ATCC相比我国病原微生物菌毒种资源尚有欠缺及企业生物安全实验室缺乏等原因,企业在研发过程中往往难以获取评估所需的病原微生物样本,这也是目前传染病诊断试剂研发的掣肘之一。


病原微生物不仅是传染病诊断试剂性能评估资源,也是科研、教学、药品和生物制品生产、出入境检验检疫等工作的重要基础和支撑条件,是保障国家社会安全、经济安全和生物安全的重要战略资源持续加强我国病原微生物资源保藏体系的建设和完善,在确保国家生物安全前提下,推动国家科技资源共享服务平台构建,能够为传染病诊断试剂准确性能评估和促进质量提升发挥重要支撑作用。


番外篇:关于Probit回归方法的示例

Probit回归方法非常适合于空白限(LoB)为零的PCR产品。为了便于理解,小编摘一个EP17-A2的案例。


此示例使用三批试剂收集对细菌DNA检测的数据,通过概率分析确定检测限 (LoD)。(注:正常应该用三个样本,这里简化为一个样本)将样品制备五个稀释系列梯度,并使用三个试剂批次对每个稀释进行一组重复测量重复。此外,对天然样本制备阴性池并进行重复测试以证明 LoB = 0。检出情况和命中率统计如下:

第一次检测结果:

分析发现这个计划集的浓度范围,只有1个或者2个浓度水平的命中率是低于100%的。比较尴尬,这些数据不足以拟合概率模型,所以额外增加较低浓度水平的测试(0.006和0.014),并添加到初始数据中。


第二次补充检测结果:


接下来是Probit回归方法数据分析,用卡方检验和对数似然比卡方检验均显示数据可以预测LoD。结果如下:


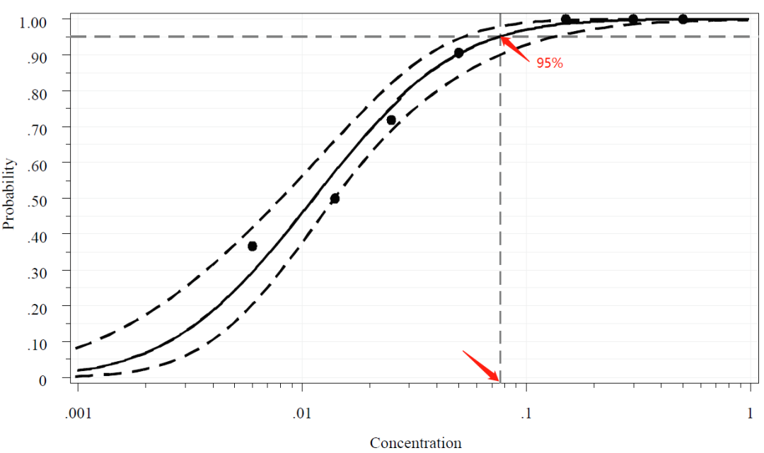
图 批次1的Probit分析图


批次1的LoD值最大,所以报告该产品的最低检出限为0.077CFU/mL。确定部分结束。


以上便是《基于不同型别腺病毒标准品的呼吸道病原体核酸试剂最低检测限性能评价》这篇文献的相关内容,希望能让各位的开发注册工作更加准确、合规。



声明:
1、凡本网注明“来源:小桔灯网”的所有作品,均为本网合法拥有版权或有权使用的作品,转载需联系授权。
2、凡本网注明“来源:XXX(非小桔灯网)”的作品,均转载自其它媒体,转载目的在于传递更多信息,并不代表本网赞同其观点和对其真实性负责。其版权归原作者所有,如有侵权请联系删除。
3、所有再转载者需自行获得原作者授权并注明来源。

刚表态过的朋友 (0 人)

发表评论

最新评论

引用 ll8848 2022-6-16 17:11
再接再厉!

查看全部评论(1)

关闭

官方推荐 上一条 /3 下一条

客服中心 搜索 洽谈合作
返回顶部