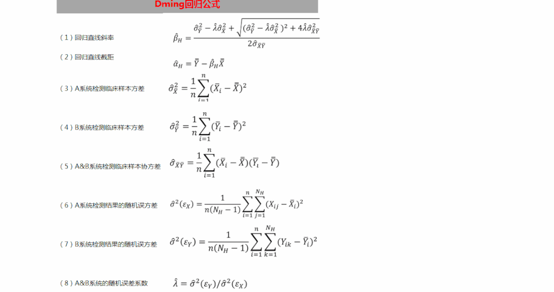
1.前言IVD产品设计为检测临床样本结果可靠,并且不同厂家产品检测同一临床样本的结果具有可比性,但是不保证检测非临床样本具有可比性。不能保证检测非临床样本(处理样本)具有可比性的原因在于处理样本不具有互通性,如果处理样本具有互通性,则能够保证检测样本和检测处理样本结果具有一致性。什么时候需要处理样本有互通性?怎么评估处理样本是否具有互通性?当处理样本被监管机构用于评估IVD产品的准确度时,要求能力验证的标准品/质评物具有互通性,否则对于某些产品的评估结论将是错误的。当处理样本用于同一IVD试剂产品在不同种类设备上进行量值传递时,需要具有互通性,否则传完之后,不同检测系统检测临床样本的结果不具有可比性。本文主要引用WS/T 356-2011 《基质效应与互通性评估指南》内容,同时参考CLSI EP14《Evaluation ofCommutability of Processed Samples, 3rd Edition》进行统计方法确认。2.定义某一系统的基质:一个物质系统除被分析物之外的所有成分。基质效应:除分析物外的其它组分对测量结果的影响。基质效应是造成处理样本不具有互通性的原因,不具有互通性的原因还可能在于处理样本中分析物本身与临床样本分析物存在差异。互通性:处理样本的特性,指使用两种指定检测系统进行同一分析物的测量,处理样本在两检测系统上测量值关系与临床样本在两检测系统上测量值关系的一致程度。3.总体要求质量管理体系及相关法规未对互通性评估作详细要求,可参照法规对IVD性能评价的要求来设计、实施、管理互通性评估,保证研发工作的严谨、规范和可追溯性。制造商在对体外诊断医疗器械进行性能评价时,其计划、实施、评价和文件化等相关过程应符合YY/T 1441 的规定。制造商应规定所有管理和实施体外诊断医疗器械性能评估相关人员的责任和相互关系,并确保具备充足的资源。制造商设计评价方案,并进行测试,做好相关记录,所有文件和记录作为该产品技术文件的一部分。性能评价的负责人应对性能评价结果最终评定和审查,并形成评价报告。(YY/T1441要求是ISO13485质量管理体系中对性能评价的细化要求) 4.互通性评估(Deming回归方法 当随机误差的标准差恒定)4.1试验设计推荐模型:两种指定的检测系统,检测至少20例临床样本,X例待评价的处理样本,每个样本重复检测3次。4.2数据检查使用合适的方法剔除离群值 ,如Grubbs法,或是Deming回归比较法。离群值概率不超过5%,剔除后应补齐需要的20例临床样本数据。4.3数据分析评估胆固醇处理样本在A和B两种检测系统上的互通性,以20例临床样本在两检测系统上的结果关系为参照,每例临床样本和处理样本均做3个重复。① 通过差值图分析A&B检测系统结果的标准差否恒定,如果呈喇叭状则非恒定,需要数据转换至标准差恒定后再进行Deming回归。  ②计算A&B检测系统上临床样本结果的deming回归系数和截距。
③计算A&B检测系统上临床样本结果的deming回归的置信上限和置信下限。

④ 判定处理样本是否在临床样本Deming回归置信线区间内。 
5.互通性评估(Deming回归方法 当随机误差的标准差随浓度变化)5.1试验设计推荐模型:两种指定的检测系统,检测至少20例临床样本,X例待评价的处理样本,每个样本重复检测3次。5.2数据检查使用合适的方法剔除离群值 ,如Grubbs法,或是Deming回归比较法。离群值概率不超过5%,剔除后应补齐需要的20例临床样本数据。5.3数据分析评估肌红蛋白(MYO)处理样本在A和B两种检测系统上的互通性,以20例临床样本在两检测系统上的结果关系为参照,每例临床样本和处理样本均做3个重复。① 通过差值图分析A&B检测系统结果的标准差否恒定,如果呈喇叭状则非恒定,需要数据转换至标准差恒定后再进行Deming回归。 

③ LOG转换后的数据再使用Deming回归进行分析 
④ 如果不进行LOG转换,Deming回归显示结果随浓度增加而分散,不符合Deming回归的前提。
|