立即注册找回密码

QQ登录

只需一步,快速开始

微信登录

微信扫一扫,快速登录

搜索
小桔灯网 门户 资讯中心 液体活检 查看内容

突变KRAS循环肿瘤DNA——胰腺癌监测的准确工具

2018-1-31 01:12| 编辑: 小桔灯网| 查看: 2392| 评论: 0|来源: 肿瘤资讯

摘要: 胰腺癌是一种凶险的恶性肿瘤。其预后较差,且确诊时已是晚期,因此需要能够早期诊断胰腺癌的有力工具。另外,由于胰腺癌的治疗方法日益增多,在各治疗方法中转换需要特异性生物标志物来评估,并评价治疗应答和预后。 ...
1.jpg

胰腺癌是一种凶险的恶性肿瘤。其预后较差,且确诊时已是晚期,因此需要能够早期诊断胰腺癌的有力工具。另外,由于胰腺癌的治疗方法日益增多,在各治疗方法中转换需要特异性生物标志物来评估,并评价治疗应答和预后。循环肿瘤DNA在此方面的研究方兴未艾。以色列特拉维夫Sourasky医学中心病理学研究所的Dov Hershkovitz博士在胰腺癌患者中对ctDNA的上述意义进行了分析,结果表明,可检测到ctDNA及其表达水平的动态可分别用于预后判断和疾病监测。其结果于1月25日发表在《The Oncologist》上。


背景和目的:


胰腺癌是美国男性和女性第四常见的癌症死亡原因。虽然胰腺癌不是一种常见疾病,但其在男性中的发病率位列第11位,在女性中位列第九位,其较高的死亡率已造成社会显著的负担。再加上肥胖症日益流行,因此该疾病负担不断增加。胰腺癌较高的死亡率是由于确诊较晚,53%的患者确诊时已发生转移,发生转移患者的5年总生存率仅为2%。因此,早期诊断和新治疗方法仍是显著的未被满足的需求。


虽然胰腺癌的预后仍不乐观,但一些新的胰腺癌治疗方法已经在这十年中获得批准。比如,吉西他滨联合用药方案、氟尿嘧啶+奥沙利铂+伊立替康(FOLFIRINOX)联合化疗方案等。因此,转移性胰腺癌患者目前有不同的联合用药方案,在这些联合方案中合理的转换非常重要,因此亟需更好的工具来评估各方案的治疗有效性。



目前,对治疗监测的应答通过以下一系列方法的组合来评估,如临床评价、影像学、计算机断层扫描(CT,最主要)、血清蛋白生物标志物如CA19-9、癌胚抗原(CEA,较少使用)。临床评价和CT影像有着明显的缺陷,如分别具有主观性和可导至造影剂肾毒性。因此,血清生物标志物因是一种非侵袭性和简单易用的监测方法而非常重要。然而,CA19-9具有许多局限性,最显著的是,5%~10%的患者根本不表达CA19-9。此外,CA19-9表达的患者具有显著的民族和性别差异,并且良性肿瘤也会造成CA19-9升高,包括阻塞性黄疸。因此,迫切需要更好的非侵袭性监测方法。


近年来已经出现使用循环肿瘤DNA(ctDNA)进行癌症监测。一些ctDNA标志物已经用于治疗决策,如EGFR p/T790M用于奥希替尼治疗,ARV7用于恩杂鲁胺和阿比特龙治疗。虽然ctDNA多数用作液体活检,但这些ctDNA标志物无一用于连续治疗随访。一种有效的治疗随访标志物所需要的特征为,容易使用、具有特异性、与治疗应答和疾病进展最密切相关。

此研究,研究者报道了转移性胰腺导管腺癌(PDAC)患者中定量突变KRAS ctDNA水平的连续监测。该方法是一种临床实践中相对便宜并且容易获得的方法。研究者将该方法的结果与CA19-9等已知标志物的结果进行了比较。


方法:


17例PDAC患者入组。全身肿瘤治疗前,每次静脉穿刺时采集血浆样本,并从血浆中分离ctDNA。新一代测序技术分析KRAS突变情况,并分析了KRAS突变与血清CA19-9水平、影像学结果和生存期的相关性。


结果:


突变KRAS ctDNA分析:

17例PDAC患者中,男性12例,女性5例。16例患者具有活检证实的转移性导管癌,1例患者基于相关症状、影像学检查结果和较高的CA19-9水平而确诊。研究者收集了所有患者的1~8份血清样本(中位3个样本)。同一患者样本的收集间期至少相隔4周。


此研究中,真实KRAS突变通过比较热点位置和非热点位置中非参考序列的发生频率确定。在非参考碱基中,非参考序列的频率为0.054%±0.133%。第99.17百分位数为0.99%,因此,KRAS基因第12位密码子被等位基因替换的频率超过1%被认为是KRAS突变。重复样本具有很好的一致性。总体来说,5/17例患者(29.4%)KRAS基因突变。


突变KRAS ctDNA与CA19-9、影像学结果和临床结局之间的相关性:

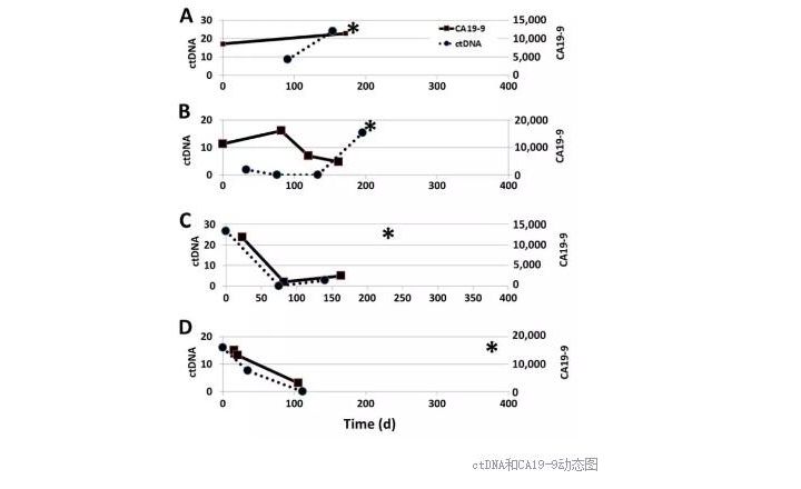
对于具有KRAS突变ctDNA的5例患者,研究者进行了CA19-9和影像学检查来确定该标志物的预后价值及与治疗应答的相关性。这五位患者被标注为编号2、3、4、11和14。研究者对每位患者的ctDNA水平、CA19-9、影像学结果和临床结局之间的相关性进行了研究。


患者2具有两个血清样本,并且两个样本都检测到KRAS突变c.35G>A。首个样本的血浆ctDNA水平为8.65%,第二个样本为24.05%。同时,CA19-9水平升高,CT影像学结果显示疾病进展,表明所有3种监测方法之间具有较好的相关性。


患者3采集了1个样本,因此不能进行与其他监测方法的相关性分析。


患者4分析了4个样本。ctDNA、CA19-9和影像学结果之间无相关性。最初,患者在接受化疗的时候,ctDNA水平低于检测限,CA19-9水平正在逐渐降低,影像学结果显示疾病进展。然后,ctDNA水平升高,CD19-9水平进一步下降,然后不久之后患者死于该疾病。因此在此位患者中,ctDNA水平比CA19-9更具临床结局的预测价值。


患者11最初对治疗产生应答,CA19-9(11900~969)和ctDNA水平(26.85~检测不到)都发生显著降低,影像学结果显示部分应答。然后,CA19-9(969~2491)和ctDNA(检测不到~2.75)显示疾病进展,影像学结果显示肿瘤进展。因此,该患者ctDNA、CA19-9表达和影像学结果之间的相关性非常好。


患者14也显示出CA19-9和ctDNA水平之间的相关性,二者都发生降低。然而,ctDNA取样前不久和取样后不久该患者都未进行影像学检查。该患者在末次取样后存活274天,表明ctDNA水平的下降与之后相对长的生存期具有良好的相关性。


综上,这些患者的结果表明,CA19-9水平和ctDNA水平之间具有良好的相关性。


突变KRAS ctDNA作为预后标志物的意义:

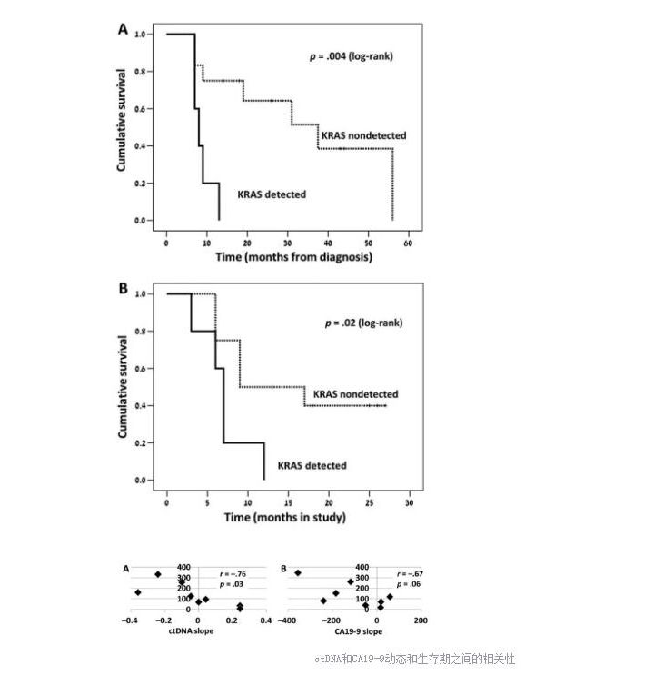
研究者检验了ctDNA突变KRAS检测和预后之间是否存在相关性。值得注意的是,5/17例患者在研究结束时仍然存活,然而无一例可检测到血清KRAS突变。这促使研究者检验了可以检测到突变KRAS是否为转移性胰腺癌患者较差预后的标志物。因此,研究者对所有患者进行了Kaplan-Meier分析,并根据可检测到/检测不到突变KRAS ctDNA进行分层。结果表明,检测不到突变KRAS与较好结局相关(8 vs 37.5个月;P<0.004)。


接下来,研究者检测了ctDNA水平的动态是否与患者的生存期相关。为此,研究者计算了ctDNA水平的斜率,其定义为每对连续样本的ctDNA水平的改变除以采样时间的差值。使用皮尔森相关性系数,研究者发现,ctDNA斜率和生存时间存在显著的负相关性(r=-0.76;P=0.03)。因此,ctDNA水平短时间内大幅降低与更长的生存期相关,而ctDNA水平快速和显著的升高与较差的预后相关。为了比较ctDNA斜率与标准血清生物标志物CA19-9的预后意义,研究者使用相同的方法计算了CA19-9斜率和预后之间的相关性。结果表明,CA19-9的改变和生存期之间无显著的相关性(r=-0.67;P=0.06)。


3.jpg

2.jpg

结论:

PDAC患者中,可检测到ctDNA及其表达水平的动态可分别用于预后判断和疾病监测。该相对容易、成本适度的分析方法比现有的使用蛋白质标志物的方法更有优势,表明ctDNA是PDAC患者非常优秀的临床可用的生物标志物。将来的研究需要进一步验证其作用,评估其他类型液体活检的潜在应用价值,如外泌体DNA。


点评:

检测和分析循环肿瘤DNA是一个在临床和学术界正在不断发展的领域。在Pubmed上使用“循环肿瘤DNA”这个检索词会检索出大量的文章,2014年、2015年和2016年分别有301、418和507篇文献。此外,特异性突变的ctDNA分析现已成为一些肿瘤常规临床实践中的一部分。由于63%~93%的PDAC患者具有KRAS突变,这使ctDNA的检测和分析有可能成为监测转移性PDAC的优秀标志物。


另一种不断发展的液体活检为外泌体分离。外泌体是细胞外囊泡,可从血液中分离,其含有高质量DNA,并相对容易分离。对于胰腺癌,具有KRAS和TP53突变的肿瘤DNA可在外泌体中检测得到。


目前,PDAC患者的随访基于临床评价、CA19-9水平和影像学研究。然而,CA19-9分析在不表达路易斯抗原的患者中可产生假阴性结果。此外,一些严重非恶性肿瘤相关的疾病,如阻塞性黄疸和糖尿病,可错误表达CA19-9水平升高。因此,需要蛋白标志物来改善CA19-9在PDAC随访治疗评估中的特异性。值得欣慰的是,此研究证实,ctDNA恰符合上述特征。


本研究的显著局限性为,患者样本量太小,并且此研究患者中ctDNA KRAS突变的发生率相对较小。因此,此研究结果在引入临床实践前,应该在更大型的研究中予以评估,从而利用突变KRAS ctDNA作为指导治疗决策的标志物。


参考文献

Mutant KRAS Circulating Tumor DNA Is an Accurate Tool for Pancreatic Cancer Monitoring

http://theoncologist.alphamedpress.org/content/early/2018/01/25/theoncologist.2017-0467.abstract


编译:陶白来源:肿瘤资讯
责任编辑:肿瘤资讯-斐斐

声明:
1、凡本网注明“来源:小桔灯网”的所有作品,均为本网合法拥有版权或有权使用的作品,转载需联系授权。
2、凡本网注明“来源:XXX(非小桔灯网)”的作品,均转载自其它媒体,转载目的在于传递更多信息,并不代表本网赞同其观点和对其真实性负责。其版权归原作者所有,如有侵权请联系删除。
3、所有再转载者需自行获得原作者授权并注明来源。

最新评论

关闭

官方推荐 上一条 /3 下一条

客服中心 搜索 洽谈合作
返回顶部